Advertisement

2 1 3 X 3 3 8 Label Template

Here are some of the images for 2 1 3 X 3 3 8 Label Template that we found in our website database.

1X3 Label Template Social Media Template

1X3 Label Template Social Media Template

1X4 Label Template Educational Printable Activities

1X4 Label Template Educational Printable Activities

4 X 2 Label Template 3 Per Sheet Get What You Need For Free

4 X 2 Label Template 3 Per Sheet Get What You Need For Free

Label Templates 10 Free PDF Printables Printablee Labels

Label Templates 10 Free PDF Printables Printablee Labels

1 1 3 X 4 Label Template Word

1 1 3 X 4 Label Template Word

Premium Label Supply Blank Printable Name Tag Stickers 2 1/3 quot x 3 3/8

Premium Label Supply Blank Printable Name Tag Stickers 2 1/3 quot x 3 3/8

Avery Flexible Name Tag Stickers White Rectangle Label with Blue

Avery Flexible Name Tag Stickers White Rectangle Label with Blue

STOCK NUMBER: L NAME2 1/3 quot x 3 3/8 quot 8 up8 1/2 quot x 11 quot SHEET

STOCK NUMBER: L NAME2 1/3 quot x 3 3/8 quot 8 up8 1/2 quot x 11 quot SHEET

Label Sheet Template Word at Tricia Bell blog

Label Sheet Template Word at Tricia Bell blog

4 x 3 1/3 Rectangle Bright Label Sheet (Rounded Corners

4 x 3 1/3 Rectangle Bright Label Sheet (Rounded Corners

Free PDF Label Templates for Graphic Designing

Free PDF Label Templates for Graphic Designing

Name Badge Labels 3 3/8 quot x 2 1/3 quot Avery® 5395 Compatible Stik2It

Name Badge Labels 3 3/8 quot x 2 1/3 quot Avery® 5395 Compatible Stik2It

2 Inch Round Labels Buy 2 quot Round Labels Premium Label Supply

2 Inch Round Labels Buy 2 quot Round Labels Premium Label Supply

Address Labels 1 X 2 58 Template Employee Onboarding Template

Address Labels 1 X 2 58 Template Employee Onboarding Template

Name Tags Trombone Green JBB 1 Digital Template (PDF) 2 1/3 x 3 3

Name Tags Trombone Green JBB 1 Digital Template (PDF) 2 1/3 x 3 3

Name Tags Tuba White JBB 1 Digital Template (PDF) 2 1/3 x 3 3/8 inch

Name Tags Tuba White JBB 1 Digital Template (PDF) 2 1/3 x 3 3/8 inch

Name Tags Keyboard White JBB 1 Digital Template (PDF) 2 1/3 x 3 3

Name Tags Keyboard White JBB 1 Digital Template (PDF) 2 1/3 x 3 3

Name Tags Viola White JBB 1 Digital Template (PDF) 2 1/3 x 3 3/8 inch

Name Tags Viola White JBB 1 Digital Template (PDF) 2 1/3 x 3 3/8 inch

Name Tags Tuba JBB 1 Digital Template (PDF) 2 1/3 x 3 3/8 inch

Name Tags Tuba JBB 1 Digital Template (PDF) 2 1/3 x 3 3/8 inch

Name Tags Ukulele JBB 1 Digital Template (PDF) 2 1/3 x 3 3/8 inch

Name Tags Ukulele JBB 1 Digital Template (PDF) 2 1/3 x 3 3/8 inch

Name Tags Xylophone JBB 1 Digital Template (PDF) 2 1/3 x 3 3/8 inch

Name Tags Xylophone JBB 1 Digital Template (PDF) 2 1/3 x 3 3/8 inch

Name Tags Singing Dou JBB 1 Digital Template (PDF) 2 1/3 x 3 3/8 inch

Name Tags Singing Dou JBB 1 Digital Template (PDF) 2 1/3 x 3 3/8 inch

Name Tags Saxophone JBB 2 Digital Template (PDF) 2 1/3 x 3 3/8 inch

Name Tags Saxophone JBB 2 Digital Template (PDF) 2 1/3 x 3 3/8 inch

Name Tags Timpani JBB 1 Digital Template (PDF) 2 1/3 x 3 3/8 inch

Name Tags Timpani JBB 1 Digital Template (PDF) 2 1/3 x 3 3/8 inch

Name Tags Tambourine JBB 1 Digital Template (PDF) 2 1/3 x 3 3/8 inch

Name Tags Tambourine JBB 1 Digital Template (PDF) 2 1/3 x 3 3/8 inch

Name Tags Snare Drum JBB 2 Digital Template (PDF) 2 1/3 x 3 3/8 inch

Name Tags Snare Drum JBB 2 Digital Template (PDF) 2 1/3 x 3 3/8 inch

Avery Matte White Rectangle Labels 2 1/3 quot x 3 3/8 quot 600 Labels

Avery Matte White Rectangle Labels 2 1/3 quot x 3 3/8 quot 600 Labels

Avery Name Badge Labels 2 1/3 quot x 3 3/8 quot for Laser/Inkjet Printers Red

Avery Name Badge Labels 2 1/3 quot x 3 3/8 quot for Laser/Inkjet Printers Red

Name Tags Wind Instruments JBB 1 Digital Template (PDF) 2 1/3 x 3

Name Tags Wind Instruments JBB 1 Digital Template (PDF) 2 1/3 x 3

MACO Laser/Ink Jet White Name Badge Labels 2 1/3 x 3 3/8 Inches 8 Per

MACO Laser/Ink Jet White Name Badge Labels 2 1/3 x 3 3/8 Inches 8 Per

Avery quot Hello My Name Is quot Name Tags 2 1/3 quot x 3 3/8 quot White with Blue

Avery quot Hello My Name Is quot Name Tags 2 1/3 quot x 3 3/8 quot White with Blue

(2 pack) Avery Name Badge Labels Flexible 2 1/3 quot x 3 3/8 quot Film

(2 pack) Avery Name Badge Labels Flexible 2 1/3 quot x 3 3/8 quot Film

Avery Adhesive Name Badges Red Border 2 1/3 quot x 3 3/8 quot 400 Badges

Avery Adhesive Name Badges Red Border 2 1/3 quot x 3 3/8 quot 400 Badges

Avery Flexible Printable Name Tags 2 1/3 quot x 3 3/8 quot Matte White 80

Avery Flexible Printable Name Tags 2 1/3 quot x 3 3/8 quot Matte White 80

1 X 2 5/8 Labels Template Campaign Planning Template

1 X 2 5/8 Labels Template Campaign Planning Template

Avery Name Badge Labels Flexible 2 1/3 quot x 3 3/8 quot Film White

Avery Name Badge Labels Flexible 2 1/3 quot x 3 3/8 quot Film White

Name Tags Violin Musician JBB 1 Digital Template (PDF) 2 1/3 x 3

Name Tags Violin Musician JBB 1 Digital Template (PDF) 2 1/3 x 3

Name Tags Flute White JBB 1 Digital Template (PDF) 2 1/3 x 3 3/8 inch

Name Tags Flute White JBB 1 Digital Template (PDF) 2 1/3 x 3 3/8 inch

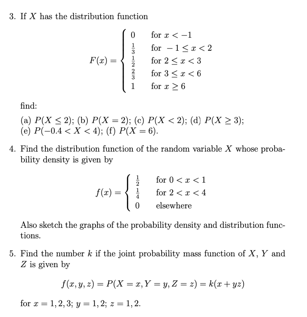
Solved 3 If X has the distribution function 0 1 3 1 2 F(x) Chegg com

Solved 3 If X has the distribution function 0 1 3 1 2 F(x) Chegg com

Name Tags Viola JBB 1 Digital Template (PDF) 2 1/3 x 3 3/8 inch

Name Tags Viola JBB 1 Digital Template (PDF) 2 1/3 x 3 3/8 inch

Avery Name Badges 5390 Template Printable template insidethehood com

Avery Name Badges 5390 Template Printable template insidethehood com

Avery Address Labels Templates Printable Free template insidethehood com

Avery Address Labels Templates Printable Free template insidethehood com

Drummer White JBB 1 40 Name Tags (5 Sheets of 8) 2 1/3 x 3 3/8 inch

Drummer White JBB 1 40 Name Tags (5 Sheets of 8) 2 1/3 x 3 3/8 inch

Trumpet White JBB 1 40 Name Tags (5 Sheets of 8) 2 1/3 x 3 3/8 inch

Trumpet White JBB 1 40 Name Tags (5 Sheets of 8) 2 1/3 x 3 3/8 inch

Acoustic Guitar White JBB 3 40 Name Tags (5 Sheets of 8) 2 1/3 x 3 3

Acoustic Guitar White JBB 3 40 Name Tags (5 Sheets of 8) 2 1/3 x 3 3

Grand Piano White JBB 3 40 Name Tags (5 Sheets of 8) 2 1/3 x 3 3/8

Grand Piano White JBB 3 40 Name Tags (5 Sheets of 8) 2 1/3 x 3 3/8

Grand Piano White JBB 6 40 Name Tags (5 Sheets of 8) 2 1/3 x 3 3/8

Grand Piano White JBB 6 40 Name Tags (5 Sheets of 8) 2 1/3 x 3 3/8

1/3 Divided by 1/2 (one third divided by one half) YouTube

1/3 Divided by 1/2 (one third divided by one half) YouTube

Printable Rectangle Labels Removable Matte White Paper 2 1/3 quot x 3 3/8

Printable Rectangle Labels Removable Matte White Paper 2 1/3 quot x 3 3/8

Avery Template 5164 Shipping Labels 3 1/3 quot x 4 quot Avery com Avery

Avery Template 5164 Shipping Labels 3 1/3 quot x 4 quot Avery com Avery

Happy Thanksgiving Day Scrapbook Page Title Sticker Happy

Happy Thanksgiving Day Scrapbook Page Title Sticker Happy

Printing Templates Heart Printed

Printing Templates Heart Printed

Avery Name Badge Labels Template Luxury 2 1 3 X 3 3 8 Name Badge Labels

Avery Name Badge Labels Template Luxury 2 1 3 X 3 3 8 Name Badge Labels

8 Labels Per Sheet Template Word Atlantaauctionco Throughout Labels 8

8 Labels Per Sheet Template Word Atlantaauctionco Throughout Labels 8

Free Avery Labels Templates Download Of 15 Things You Should Know

Free Avery Labels Templates Download Of 15 Things You Should Know

A matriz resultante da multiplicação entre as matrizes 1 2 1 3 x

A matriz resultante da multiplicação entre as matrizes 1 2 1 3 x

Happy Thanksgiving Sign

Happy Thanksgiving Sign

Math Brain Teasers

Math Brain Teasers

Disco De Corte Inox 4 1/2 x 3/64 x 7/8 1 Unidade Beltools Escorrega o

Disco De Corte Inox 4 1/2 x 3/64 x 7/8 1 Unidade Beltools Escorrega o