Advertisement

Accounting Technician Certificate

Here are some of the images for Accounting Technician Certificate that we found in our website database.

Bookkeeping Accounting Technician Certificate PDF

Bookkeeping Accounting Technician Certificate PDF

The truth behind making an AAT diploma

The truth behind making an AAT diploma

Create a 100% copy Association of Accounting Technicians certificate

Create a 100% copy Association of Accounting Technicians certificate

Accounting Technology Certificate prntbl concejomunicipaldechinu gov co

Accounting Technology Certificate prntbl concejomunicipaldechinu gov co

Order Association of Accounting Technicians Certificate

Order Association of Accounting Technicians Certificate

Association of Accounting Technicians (AAT) certificate frame

Association of Accounting Technicians (AAT) certificate frame

How do I get an AAT Level 4 certificate online?

How do I get an AAT Level 4 certificate online?

Certified Accounting Technician (CAT) Credly

Certified Accounting Technician (CAT) Credly

Order Association of Accounting Technicians Certificate

Order Association of Accounting Technicians Certificate

Certified Accounting Technician (CAT) Learning Media

Certified Accounting Technician (CAT) Learning Media

Fillable Online Accounting Technician Certificate Fax Email Print

Fillable Online Accounting Technician Certificate Fax Email Print

How to Obtain A Fake Association of Accounting Technicians Certificate

How to Obtain A Fake Association of Accounting Technicians Certificate

Certificate In Accounting certificates templates free

Certificate In Accounting certificates templates free

Accounting Technician Certificate Academic Record (1) PDF

Accounting Technician Certificate Academic Record (1) PDF

Association of Accounting Technicians (AAT) certificate frame

Association of Accounting Technicians (AAT) certificate frame

Certificate for Accounting Technicians

Certificate for Accounting Technicians

How To Become A Certified Surgical Technician: Accounting Technician

How To Become A Certified Surgical Technician: Accounting Technician

ACCA Fake Certificate Buy Fake AAT Certificate Buy Fake High School

ACCA Fake Certificate Buy Fake AAT Certificate Buy Fake High School

Accounting Technician Certificate by SOCPA R Saudi

Accounting Technician Certificate by SOCPA R Saudi

Create a 100% copy Association of Accounting Technicians certificate

Create a 100% copy Association of Accounting Technicians certificate

CMA India CAT Course Certificate in Accounting Technicians

CMA India CAT Course Certificate in Accounting Technicians

Get a Fake Association of Accounting Technicians Certificate

Get a Fake Association of Accounting Technicians Certificate

Who Needs to Buy Fake Association of Accounting Technicians Certificate

Who Needs to Buy Fake Association of Accounting Technicians Certificate

Can I buy a high quality Association of Accounting Technicians

Can I buy a high quality Association of Accounting Technicians

PPT Focused Accounting Technicians Ireland Level 4 Certificate for

PPT Focused Accounting Technicians Ireland Level 4 Certificate for

Purchase a Fake AAT Level 3 certificate AAT certificate

Purchase a Fake AAT Level 3 certificate AAT certificate

Accounting Technician Certificate Academic Record (1) PDF

Accounting Technician Certificate Academic Record (1) PDF

CA ANZ Certificate buy Chartered Accountant Certificate

CA ANZ Certificate buy Chartered Accountant Certificate

Icmai Certificate in Accounting Technicians Exam Pattern PDF THE

Icmai Certificate in Accounting Technicians Exam Pattern PDF THE

Free Course: Certificate for Accounting Technicians of Ireland

Free Course: Certificate for Accounting Technicians of Ireland

Can I buy a high quality Association of Accounting Technicians

Can I buy a high quality Association of Accounting Technicians

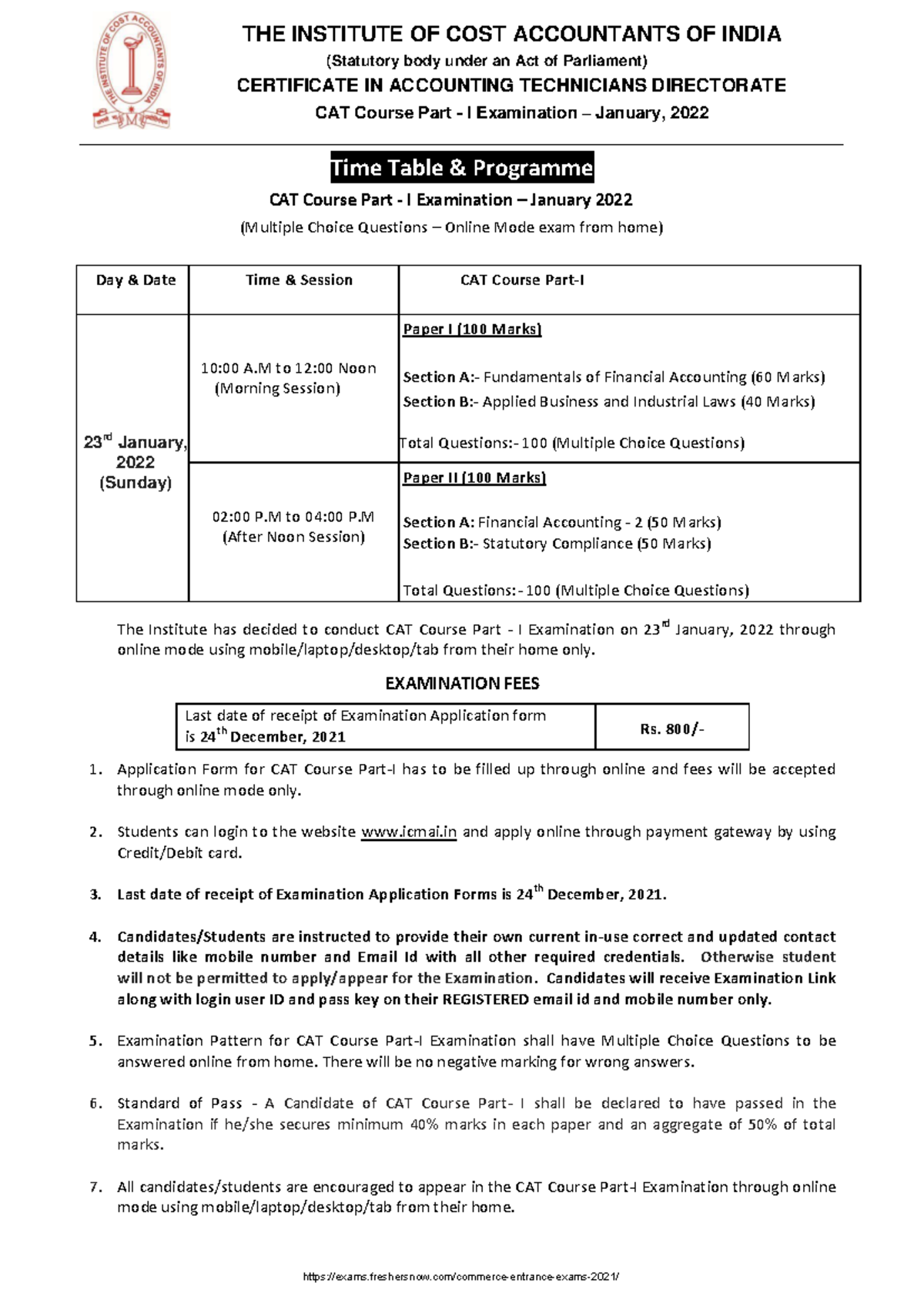
PPT ICMAI CAT Course Jan 2018 Exam Certificate in Accounting

PPT ICMAI CAT Course Jan 2018 Exam Certificate in Accounting

Certified Accounting Technician Malaysia

Certified Accounting Technician Malaysia

Certified Accounting Technician Exam Reviewer Natalie Jackson

Certified Accounting Technician Exam Reviewer Natalie Jackson

ICAI CAT: Application Syllabus Fees Exam Eligibility Jobs

ICAI CAT: Application Syllabus Fees Exam Eligibility Jobs

PPT ICMAI CAT Course Jan 2018 Exam Certificate in Accounting

PPT ICMAI CAT Course Jan 2018 Exam Certificate in Accounting

CAT Certificate in Accounting Technicians ICMAI Complete Details

CAT Certificate in Accounting Technicians ICMAI Complete Details

Fillable Online Association of Accounting Technicians of Sri CA

Fillable Online Association of Accounting Technicians of Sri CA

KATC stands for Kenya Accounting Technicians Certificate Abbreviation

KATC stands for Kenya Accounting Technicians Certificate Abbreviation

ICMAI CAT Course Jan 2018 Exam Certificate in Accounting Technicians

ICMAI CAT Course Jan 2018 Exam Certificate in Accounting Technicians

Accounting Letter Templates in Word FREE Download Template net

Accounting Letter Templates in Word FREE Download Template net

Professional Accounting Technician apprenticeship standard AAT

Professional Accounting Technician apprenticeship standard AAT

Accounting Operations Certificate prntbl concejomunicipaldechinu gov co

Accounting Operations Certificate prntbl concejomunicipaldechinu gov co

How to get a fake Association of Accounting Technicians certificate

How to get a fake Association of Accounting Technicians certificate

Enrolment now taking place for The Certificate in the Accounting

Enrolment now taking place for The Certificate in the Accounting

What Does an Accounting Technician Do?

What Does an Accounting Technician Do?

Accounting Technicians South Africa Credit Blende Training offers the

Accounting Technicians South Africa Credit Blende Training offers the

Get a Fake Association of Accounting Technicians Certificate

Get a Fake Association of Accounting Technicians Certificate

Association of Accounting Technicians Advanced Certificate In

Association of Accounting Technicians Advanced Certificate In

NVQ Certificates BudgetDiploma

NVQ Certificates BudgetDiploma

SOCPA Publishes the Names of New Accounting Technician Certificate

SOCPA Publishes the Names of New Accounting Technician Certificate

Accounting Technician Certificate by SOCPA R Saudi

Accounting Technician Certificate by SOCPA R Saudi

SOCPA publishes the names of new Accounting Technician Certificate

SOCPA publishes the names of new Accounting Technician Certificate

Information/Registration Evening in Portarlington FETB for Accounting

Information/Registration Evening in Portarlington FETB for Accounting

CAT Certificate in Accounting Technicians

CAT Certificate in Accounting Technicians

Association of Chartered Certified Accountants (ACCA) Accountancy

Association of Chartered Certified Accountants (ACCA) Accountancy

What Is Accounting Technician LiveWell

What Is Accounting Technician LiveWell

Fillable Online Certificate in Accounting Technicians From the

Fillable Online Certificate in Accounting Technicians From the

SOCPA Announces the Names of Recently Certified Accounting Technicians

SOCPA Announces the Names of Recently Certified Accounting Technicians

Ali Hamza Bhutta Contractor Parkland Corporation MBA Finance BSc

Ali Hamza Bhutta Contractor Parkland Corporation MBA Finance BSc