Advertisement

Association Of Workplace Investigators Certificate

Here are some of the images for Association Of Workplace Investigators Certificate that we found in our website database.

Special counsel awarded Association of Workplace Investigators

Special counsel awarded Association of Workplace Investigators

Association of Workplace Investigators Inc on LinkedIn: The AWI

Association of Workplace Investigators Inc on LinkedIn: The AWI

Association of Workplace Investigators Inc on LinkedIn: The AWI

Association of Workplace Investigators Inc on LinkedIn: The AWI

Human Resources Director Pamela Wu obtains certificate from the

Human Resources Director Pamela Wu obtains certificate from the

Human Resources Director Pamela Wu obtains certificate from the

Human Resources Director Pamela Wu obtains certificate from the

2024 AWI Training Institute for Workplace Investigators Oppenheimer

2024 AWI Training Institute for Workplace Investigators Oppenheimer

Association of Workplace Investigators Inc on LinkedIn: Hotel Room

Association of Workplace Investigators Inc on LinkedIn: Hotel Room

Association of Workplace Investigators Inc on LinkedIn: Spots for our

Association of Workplace Investigators Inc on LinkedIn: Spots for our

AWI 2023 Virtual Training Institute for Workplace Investigators

AWI 2023 Virtual Training Institute for Workplace Investigators

Lead Accident Investigators Certificate AGS One

Lead Accident Investigators Certificate AGS One

Beth Nillen Designated an AWI CH by the Association of Workplace

Beth Nillen Designated an AWI CH by the Association of Workplace

Shirin Forootan Esq (AWI CH) on LinkedIn: Association of Workplace

Shirin Forootan Esq (AWI CH) on LinkedIn: Association of Workplace

Ewald Consulting

Ewald Consulting

Association of Workplace Investigators Inc on LinkedIn: On May 30 31

Association of Workplace Investigators Inc on LinkedIn: On May 30 31

Association of Workplace Investigators Inc on LinkedIn: ONE WEEK

Association of Workplace Investigators Inc on LinkedIn: ONE WEEK

Association of Workplace Investigators Inc on LinkedIn: Get

Association of Workplace Investigators Inc on LinkedIn: Get

Association of Workplace Investigators Inc on LinkedIn: Join AWI at

Association of Workplace Investigators Inc on LinkedIn: Join AWI at

Association of Workplace Investigators Inc on LinkedIn: Become an AWI

Association of Workplace Investigators Inc on LinkedIn: Become an AWI

Association of Workplace Investigators Inc on LinkedIn: Don #39 t wait to

Association of Workplace Investigators Inc on LinkedIn: Don #39 t wait to

Association of Workplace Investigators Inc on LinkedIn: LAST CHANCE

Association of Workplace Investigators Inc on LinkedIn: LAST CHANCE

Save the date for the 2025 AWI Annual Conference Association of

Save the date for the 2025 AWI Annual Conference Association of

Wannos Law Workplace Investigation

Wannos Law Workplace Investigation

Jack Rice Earns Preparedness Mindset for Investigators Certificate

Jack Rice Earns Preparedness Mindset for Investigators Certificate

Certification Program Association of Workplace Investigators

Certification Program Association of Workplace Investigators

Liebert Cassidy Whitmore Workplace Investigations on LinkedIn: #

Liebert Cassidy Whitmore Workplace Investigations on LinkedIn: #

Beth Gramigna to Present at Association of Workplace Investigators

Beth Gramigna to Present at Association of Workplace Investigators

Stephanie Halford on LinkedIn: I can t wait for the Association of

Stephanie Halford on LinkedIn: I can t wait for the Association of

Association of Workplace Investigators

Association of Workplace Investigators

Association of Workplace Investigators

Association of Workplace Investigators

#workplaceinvestigations #caemploymentlawyers #caemploymentlaw Duggan

#workplaceinvestigations #caemploymentlawyers #caemploymentlaw Duggan

What to expect from a workplace investigation News DTI Lawyers

What to expect from a workplace investigation News DTI Lawyers

Form JV 192 Fill Out Sign Online and Download Fillable PDF

Form JV 192 Fill Out Sign Online and Download Fillable PDF

certificate of amendment of articles of incorporation of

certificate of amendment of articles of incorporation of

Harkness Henry on LinkedIn: Thank you to Australasian Association of

Harkness Henry on LinkedIn: Thank you to Australasian Association of

Cindy Cieslak AWI CH on LinkedIn: I m happy to share that I am an

Cindy Cieslak AWI CH on LinkedIn: I m happy to share that I am an

I #39 m so happy to share that I am now a Association of Workplace

I #39 m so happy to share that I am now a Association of Workplace

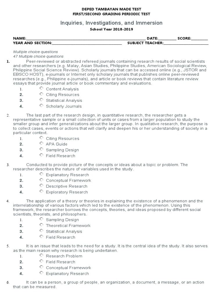
Inquiries Investigations and Immersion: Multiple Choice Questions 47

Inquiries Investigations and Immersion: Multiple Choice Questions 47

About

About

Association of Workplace Investigators

Association of Workplace Investigators

Lucy Li Ellis Investigations

Lucy Li Ellis Investigations

About Arduengo Investigat

About Arduengo Investigat

Ashley O Driscoll BEH

Ashley O Driscoll BEH

Cynthia Lazar Taylor McCaffrey LLP

Cynthia Lazar Taylor McCaffrey LLP

About Us Marshall Investigations

About Us Marshall Investigations

Association of Workplace Investigators (AWI) Prometric

Association of Workplace Investigators (AWI) Prometric

Association of Workplace Investigators Edition Studios

Association of Workplace Investigators Edition Studios

Association of Workplace Investigators

Association of Workplace Investigators

Nina Baumler Public Interest Investigations

Nina Baumler Public Interest Investigations

Our Team MFR Associates PLLC

Our Team MFR Associates PLLC

Allison Ianni Esq EPT LegalEPT Legal

Allison Ianni Esq EPT LegalEPT Legal

Catherine Milne TurnpenneyMilne LLP

Catherine Milne TurnpenneyMilne LLP

When Gender Identity and Investigations Intersect T9 Mastered

When Gender Identity and Investigations Intersect T9 Mastered

Trish K Murphy Labor Employment Lawyer Workplace Investigator

Trish K Murphy Labor Employment Lawyer Workplace Investigator

Association of Workplace Investigators

Association of Workplace Investigators

Association of Workplace Investigators

Association of Workplace Investigators

Jessica Rinaldi Esq EPT LegalEPT Legal

Jessica Rinaldi Esq EPT LegalEPT Legal

Awi Conference 2025 Carl C Paul

Awi Conference 2025 Carl C Paul

Association of Workplace Investigators

Association of Workplace Investigators

Consent: Gathering the Essential Facts T9 Mastered

Consent: Gathering the Essential Facts T9 Mastered

CNC Intelligence The Association of British Investigators

CNC Intelligence The Association of British Investigators