Advertisement

Booby Prize Winner Crossword

Here are some of the images for Booby Prize Winner Crossword that we found in our website database.

Solved What is the probability of being a Booby Prize Chegg com

Solved What is the probability of being a Booby Prize Chegg com

Solved What is the probability of being a Booby Prize Chegg com

Solved What is the probability of being a Booby Prize Chegg com

Solved What is the probability of being a Booby Prize Chegg com

Solved What is the probability of being a Booby Prize Chegg com

Solved What is the probability of being a Booby Prize Chegg com

Solved What is the probability of being a Booby Prize Chegg com

Solved What is the probability of being a Booby Prize Chegg com

Solved What is the probability of being a Booby Prize Chegg com

Solved What is the probability of being a Booby Prize Chegg com

Solved What is the probability of being a Booby Prize Chegg com

Solved x What is the probability of being a Booby Prize Chegg com

Solved x What is the probability of being a Booby Prize Chegg com

The Booby Prize The Booby Prize added a new photo

The Booby Prize The Booby Prize added a new photo

2009 Nobel Prize winner Crossword Clue Answers Crossword Solver

2009 Nobel Prize winner Crossword Clue Answers Crossword Solver

Nobel Prize Winners Crossword Puzzle

Nobel Prize Winners Crossword Puzzle

Solved /9 Points WANEFMAC7 8 4 030 What is the Chegg com

Solved /9 Points WANEFMAC7 8 4 030 What is the Chegg com

Solved the probability of being a Winner? (Enter your Chegg com

Solved the probability of being a Winner? (Enter your Chegg com

Solved the probability of being a Winner? (Enter your Chegg com

Solved the probability of being a Winner? (Enter your Chegg com

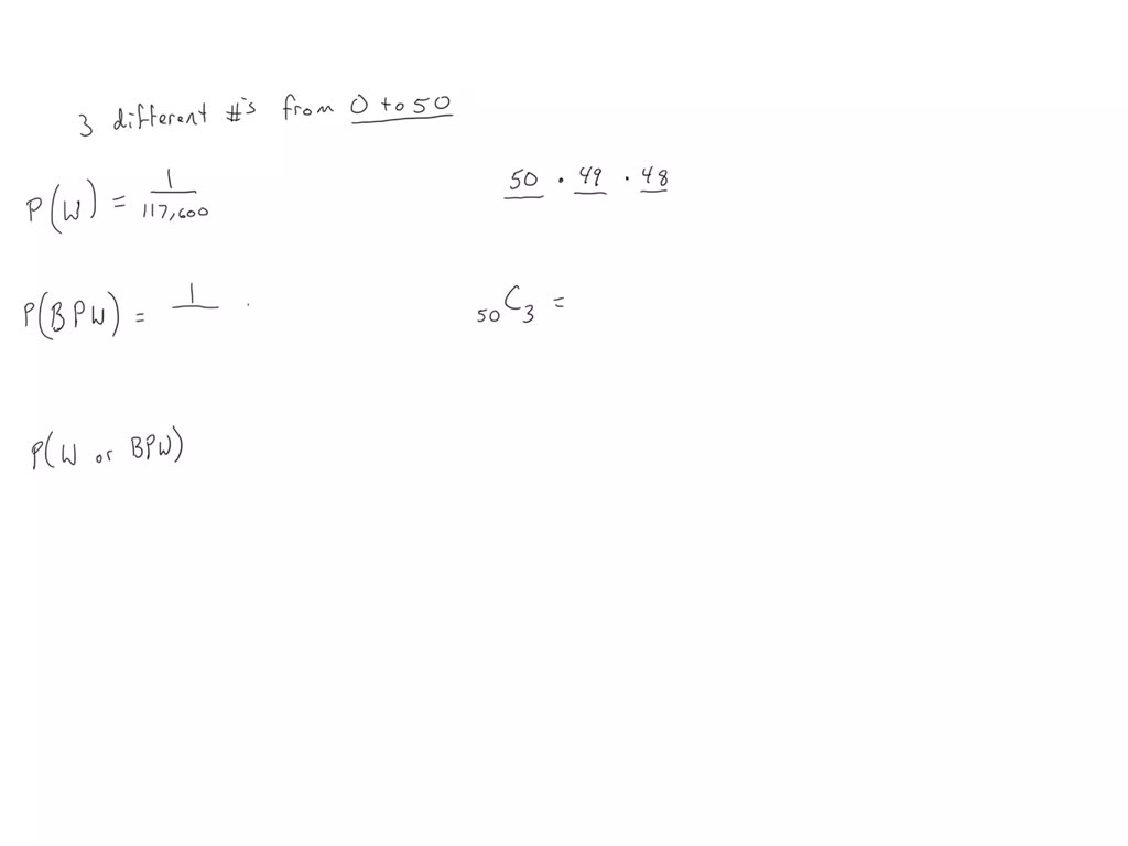
Solved are a Booby Prize Winner if your selection of numbers Chegg com

Solved are a Booby Prize Winner if your selection of numbers Chegg com

Solved you are a Booby Prize Winner if your selection of Chegg com

Solved you are a Booby Prize Winner if your selection of Chegg com

Solved are a Booby Prize Winner if your selection of numbers Chegg com

Solved are a Booby Prize Winner if your selection of numbers Chegg com

Solved are a Booby Prize Winner if your selection of numbers Chegg com

Solved are a Booby Prize Winner if your selection of numbers Chegg com

Danish winner of the 1943 Nobel Prize in Medicine (6 3) Crossword

Danish winner of the 1943 Nobel Prize in Medicine (6 3) Crossword

J M 1983 Booker Prize winner for Life Times of Michael K 2003

J M 1983 Booker Prize winner for Life Times of Michael K 2003

2015 Mammosine and Booby Prize Winners Selected

2015 Mammosine and Booby Prize Winners Selected

‎Word Winner: Crossword Connect on the App Store

‎Word Winner: Crossword Connect on the App Store

Mark Wright Wearing Mankini Booby Prize Editorial Stock Photo Stock

Mark Wright Wearing Mankini Booby Prize Editorial Stock Photo Stock

News Creative writing competition The Booby Prize October 2025

News Creative writing competition The Booby Prize October 2025

Why doesn #39 t the greasy crossword jockey booby trap his trophies with

Why doesn #39 t the greasy crossword jockey booby trap his trophies with

Booby Prize Joke Last Place Finish Worst Performance Team Player Stock

Booby Prize Joke Last Place Finish Worst Performance Team Player Stock

Winner rosette award prize blue trophy also ran loser hi res stock

Winner rosette award prize blue trophy also ran loser hi res stock

Solved correct but in the wrong order What is the Chegg com

Solved correct but in the wrong order What is the Chegg com

Crossword Book Award: Winners Nomination Process History

Crossword Book Award: Winners Nomination Process History

Weverse WINNER Image WINNER CROSSWORD PUZZLE💙

Weverse WINNER Image WINNER CROSSWORD PUZZLE💙

Solved correct but in the wrong order What is the Chegg com

Solved correct but in the wrong order What is the Chegg com

$100 000 Crossword Blowout A FastPlay Game

$100 000 Crossword Blowout A FastPlay Game

Winners Minnesota Lottery

Winners Minnesota Lottery

20 Bingo Prize Ideas For Adults Bingo Card Creator

20 Bingo Prize Ideas For Adults Bingo Card Creator

Prize Puzzle: Hindi Crossword 7 Solution and Winner ~ Crossword Unclued

Prize Puzzle: Hindi Crossword 7 Solution and Winner ~ Crossword Unclued

Prize Puzzle: Hindi Crossword 7 Solution and Winner ~ Crossword Unclued

Prize Puzzle: Hindi Crossword 7 Solution and Winner ~ Crossword Unclued

Solved /9 Points WANEFMAC7 8 4 030 correct but in the Chegg com

Solved /9 Points WANEFMAC7 8 4 030 correct but in the Chegg com

#39 I usually win the booby prize #39 says £60 000 Highland lottery winner

#39 I usually win the booby prize #39 says £60 000 Highland lottery winner

SOLVED: Lotteries The Sad State Lottery requires you to select a

SOLVED: Lotteries The Sad State Lottery requires you to select a

SOLVED: Lotteries: The Sad State Lottery requires you to select a

SOLVED: Lotteries: The Sad State Lottery requires you to select a

Booby Prize YouTube

Booby Prize YouTube

WINNER INSTANT PRIZE CROSSWORD CA Scratchers YouTube

WINNER INSTANT PRIZE CROSSWORD CA Scratchers YouTube

Bee 🐝 Lucky 🍀 CrossWord #calottery #scratchers #lucky #winner #

Bee 🐝 Lucky 🍀 CrossWord #calottery #scratchers #lucky #winner #

Mega CrossWord 🤞🏼🍀🤑 Profit #calottery #scratchers #winner #crossword #

Mega CrossWord 🤞🏼🍀🤑 Profit #calottery #scratchers #winner #crossword #

Grammarly Grammarly added a new photo

Grammarly Grammarly added a new photo

🚨ALBION HOTEL SINGLETON Albion Hotel Singleton

🚨ALBION HOTEL SINGLETON Albion Hotel Singleton

Filichia Insurance AgencyConsumer Information Complaint Website

Filichia Insurance AgencyConsumer Information Complaint Website

Cypriot Golf Society

Cypriot Golf Society

NEW YORK TIMES SUNDAY CROSSWORD PressReader

NEW YORK TIMES SUNDAY CROSSWORD PressReader

As a man is so he sees Causing the 1000 years of peace on the planet

As a man is so he sees Causing the 1000 years of peace on the planet

Hunter Dunning Office Photos Glassdoor

Hunter Dunning Office Photos Glassdoor

Colour Japanese crossword Nazca Booby

Colour Japanese crossword Nazca Booby

Editable Calendar Templates prntbl concejomunicipaldechinu gov co

Editable Calendar Templates prntbl concejomunicipaldechinu gov co

Colour Japanese crossword Nazca Booby

Colour Japanese crossword Nazca Booby

Editable Calendar Templates prntbl concejomunicipaldechinu gov co

Editable Calendar Templates prntbl concejomunicipaldechinu gov co

Colour Japanese crossword Nazca Booby

Colour Japanese crossword Nazca Booby

Kandy Kemp of #Buffalo took home a nice $10 000 prize she won playing

Kandy Kemp of #Buffalo took home a nice $10 000 prize she won playing

Omaha World Herald from Omaha Nebraska Newspapers com™

Omaha World Herald from Omaha Nebraska Newspapers com™

Sports Performance Coach Certification prntbl concejomunicipaldechinu

Sports Performance Coach Certification prntbl concejomunicipaldechinu

Iowa man wins top lottery prize on $100 000 Mega Crossword Kansas

Iowa man wins top lottery prize on $100 000 Mega Crossword Kansas

Fun Trophies Novelty Awards Booby Prize Trophies Impact Trophies

Fun Trophies Novelty Awards Booby Prize Trophies Impact Trophies