Advertisement

Church Constitution And Bylaws Template

Here are some of the images for Church Constitution And Bylaws Template that we found in our website database.

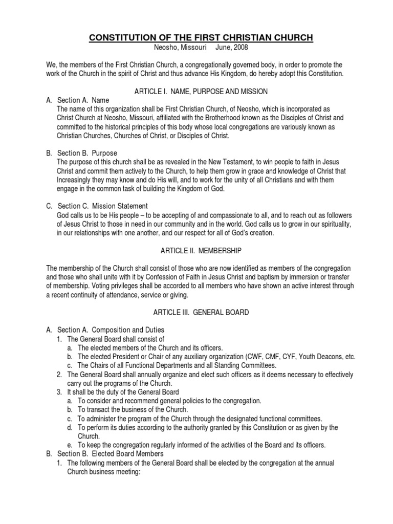
Church Constitution and Bylaws PDF Christian Church (Disciples Of

Church Constitution and Bylaws PDF Christian Church (Disciples Of

Free Church bylaws Template Of Church bylaws Template Church

Free Church bylaws Template Of Church bylaws Template Church

Free Church bylaws Template Of Church bylaws Template Church

Free Church bylaws Template Of Church bylaws Template Church

Free Church bylaws Template Of Church Constitution and bylaws Template

Free Church bylaws Template Of Church Constitution and bylaws Template

Church Bylaws Template Free Word Templates

Church Bylaws Template Free Word Templates

Free Church bylaws Template Of Template Church Template Free bylaws

Free Church bylaws Template Of Template Church Template Free bylaws

Church Bylaws Template Get Free Templates

Church Bylaws Template Get Free Templates

Free Bylaw Templates Edit Online Download Template net

Free Bylaw Templates Edit Online Download Template net

Free Church bylaws Template Of bylaws format Example Dolapgnetband

Free Church bylaws Template Of bylaws format Example Dolapgnetband

Constitution And Bylaws Romulus Community Baptist Church

Constitution And Bylaws Romulus Community Baptist Church

51 Free Church bylaws Template Heritagechristiancollege

51 Free Church bylaws Template Heritagechristiancollege

Free Ministry Constitution And Bylaws Template to Edit Online

Free Ministry Constitution And Bylaws Template to Edit Online

Free Church bylaws Template Of Microsoft Word Meeting Minutes Template

Free Church bylaws Template Of Microsoft Word Meeting Minutes Template

Free Church bylaws Template Of Corporate bylaws Template top Result S

Free Church bylaws Template Of Corporate bylaws Template top Result S

Free Church bylaws Template Of Corporate bylaws Template top Result S

Free Church bylaws Template Of Corporate bylaws Template top Result S

Free Church bylaws Template Of Corporate bylaws Template top Result S

Free Church bylaws Template Of Corporate bylaws Template top Result S

Free Church bylaws Template Of Best S Of Examples bylaws Example Of

Free Church bylaws Template Of Best S Of Examples bylaws Example Of

Free Church bylaws Template Of Best S Of Examples bylaws Example Of

Free Church bylaws Template Of Best S Of Examples bylaws Example Of

Bylaws Template download free documents for PDF Word and Excel

Bylaws Template download free documents for PDF Word and Excel

Sample Bylaws For Church CHURCHGISTS COM

Sample Bylaws For Church CHURCHGISTS COM

Free Church bylaws Template Of Free bylaws Corporate Free Llc Operating

Free Church bylaws Template Of Free bylaws Corporate Free Llc Operating

Free Church bylaws Template Of 501c3go bylaws Table Of Contents 501c3go

Free Church bylaws Template Of 501c3go bylaws Table Of Contents 501c3go

Apostolic Church Bylaws Template Template 1 : Resume Examples #P32Ed70VJ8

Apostolic Church Bylaws Template Template 1 : Resume Examples #P32Ed70VJ8

Sample Church Bylaws Template Template 1 : Resume Examples #BpV5nPL21Z

Sample Church Bylaws Template Template 1 : Resume Examples #BpV5nPL21Z

Pentecostal church constitution pdf: Fill out sign online DocHub

Pentecostal church constitution pdf: Fill out sign online DocHub

Free Church Bylaws Template

Free Church Bylaws Template

Fillable Online Church Constitution And Bylaws Sample Fax Email Print

Fillable Online Church Constitution And Bylaws Sample Fax Email Print

Free Church Bylaws Template

Free Church Bylaws Template

Constitution and bylaws sample catholic church in Word and Pdf

Constitution and bylaws sample catholic church in Word and Pdf

Constitution and bylaws sample catholic church in Word and Pdf

Constitution and bylaws sample catholic church in Word and Pdf

Constitution and bylaws sample catholic church in Word and Pdf

Constitution and bylaws sample catholic church in Word and Pdf

Constitution bylaws of sample baptist church in Word and Pdf formats

Constitution bylaws of sample baptist church in Word and Pdf formats

Constitution bylaws of sample baptist church in Word and Pdf formats

Constitution bylaws of sample baptist church in Word and Pdf formats

Constitution bylaws of sample baptist church in Word and Pdf formats

Constitution bylaws of sample baptist church in Word and Pdf formats

Non Denominational Church Bylaws Template

Non Denominational Church Bylaws Template

Constitution and bylaws of sample baptist church in Word and Pdf

Constitution and bylaws of sample baptist church in Word and Pdf

Constitution and bylaws of sample baptist church in Word and Pdf

Constitution and bylaws of sample baptist church in Word and Pdf

Bylaws Template download free documents for PDF Word and Excel

Bylaws Template download free documents for PDF Word and Excel

Bylaws Template download free documents for PDF Word and Excel

Bylaws Template download free documents for PDF Word and Excel

Constitution and bylaws of sample baptist church in Word and Pdf

Constitution and bylaws of sample baptist church in Word and Pdf

Constitution and bylaws of sample baptist church in Word and Pdf

Constitution and bylaws of sample baptist church in Word and Pdf

Constitution and bylaws of sample baptist church in Word and Pdf

Constitution and bylaws of sample baptist church in Word and Pdf

Free Church Bylaws Template prntbl concejomunicipaldechinu gov co

Free Church Bylaws Template prntbl concejomunicipaldechinu gov co

Free Church Bylaws Template prntbl concejomunicipaldechinu gov co

Free Church Bylaws Template prntbl concejomunicipaldechinu gov co

Constitution and bylaws sample catholic church in Word and Pdf

Constitution and bylaws sample catholic church in Word and Pdf

Free bylaws Template Of Stateline Riders Motorcycle Club Club by Laws

Free bylaws Template Of Stateline Riders Motorcycle Club Club by Laws

Free Assembly Of God Bylaws Template to Edit Online

Free Assembly Of God Bylaws Template to Edit Online

87 Printable Bylaws Template Forms Fillable Samples in PDF Word to

87 Printable Bylaws Template Forms Fillable Samples in PDF Word to

Constitution bylaws of sample baptist church in Word and Pdf formats

Constitution bylaws of sample baptist church in Word and Pdf formats

Constitution bylaws of sample baptist church in Word and Pdf formats

Constitution bylaws of sample baptist church in Word and Pdf formats

Constitution and bylaws of sample baptist church in Word and Pdf

Constitution and bylaws of sample baptist church in Word and Pdf

constitution bylaws template (word doc)

constitution bylaws template (word doc)

Sample church bylaws pdf: Fill out sign online DocHub

Sample church bylaws pdf: Fill out sign online DocHub

Free Printable Church Ministry Bylaw Template to Edit Online

Free Printable Church Ministry Bylaw Template to Edit Online

Church constitution sample doc: Fill out sign online DocHub

Church constitution sample doc: Fill out sign online DocHub

Certificate of adoption of bylaws in Word and Pdf formats

Certificate of adoption of bylaws in Word and Pdf formats

Church Bulletin Fillers And Quotes QuotesGram

Church Bulletin Fillers And Quotes QuotesGram