Advertisement

Circular Flow Of Economic Activity Worksheet Answer Key

Here are some of the images for Circular Flow Of Economic Activity Worksheet Answer Key that we found in our website database.

Economics Worksheet Circular Flow Simulation Pdf db excel com

Economics Worksheet Circular Flow Simulation Pdf db excel com

Circular Flow Of Economic Activity Worksheet Printable PDF Template

Circular Flow Of Economic Activity Worksheet Printable PDF Template

Lesson 10 The Circular Flow Of Economic Activity Pdf db excel com

Lesson 10 The Circular Flow Of Economic Activity Pdf db excel com

Free Market Economy Pdf 125679 Circular Flow Activity Answer Key

Free Market Economy Pdf 125679 Circular Flow Activity Answer Key

Circular Flow Of Economic Activity Worksheet Answers db excel com

Circular Flow Of Economic Activity Worksheet Answers db excel com

Circular Flow Diagram In Economics Definition Example db excel com

Circular Flow Diagram In Economics Definition Example db excel com

Circular Flow of Economic Activity Diagram Quizlet

Circular Flow of Economic Activity Diagram Quizlet

Circular Flow of Economic Activity Econ Tips

Circular Flow of Economic Activity Econ Tips

Circular Flow of Economic Activity Reading Comprehension Passages Worksheet

Circular Flow of Economic Activity Reading Comprehension Passages Worksheet

CIRCULAR FLOW OF ECONOMIC ACTIVITY WORKSHEET ANSWER KEY

CIRCULAR FLOW OF ECONOMIC ACTIVITY WORKSHEET ANSWER KEY

CIRCULAR FLOW OF ECONOMIC ACTIVITY WORKSHEET ANSWER KEY

CIRCULAR FLOW OF ECONOMIC ACTIVITY WORKSHEET ANSWER KEY

CIRCULAR FLOW OF ECONOMIC ACTIVITY WORKSHEET ANSWER KEY

CIRCULAR FLOW OF ECONOMIC ACTIVITY WORKSHEET ANSWER KEY

CIRCULAR FLOW OF ECONOMIC ACTIVITY WORKSHEET ANSWER KEY

CIRCULAR FLOW OF ECONOMIC ACTIVITY WORKSHEET ANSWER KEY

Exploring the Circular Flow of Economic Activity

Exploring the Circular Flow of Economic Activity

Circular Flow of Economic Activity Reading Comprehension Passages Worksheet

Circular Flow of Economic Activity Reading Comprehension Passages Worksheet

Economics Worksheet Economic Systems and Circular Flow Worksheet

Economics Worksheet Economic Systems and Circular Flow Worksheet

circular flow of economic activity philippin news collections

circular flow of economic activity philippin news collections

circular flow of economic activity philippin news collections

circular flow of economic activity philippin news collections

circular flow of economic activity philippin news collections

circular flow of economic activity philippin news collections

circular flow of economic activity philippin news collections

circular flow of economic activity philippin news collections

circular flow of economic activity philippin news collections

circular flow of economic activity philippin news collections

circular flow of economic activity philippin news collections

circular flow of economic activity philippin news collections

Economic Circular Flow Diagram Explained

Economic Circular Flow Diagram Explained

Circular Flow of Economic Activity Worksheet Answer Key

Circular Flow of Economic Activity Worksheet Answer Key

Circular Flow of Economic Activity Worksheet Answer Key

Circular Flow of Economic Activity Worksheet Answer Key

Circular Flow of Economic Activity Worksheet Answer Key

Circular Flow of Economic Activity Worksheet Answer Key

Circular Flow Diagram Economic Activity 2 2 Circular Flow Mo

Circular Flow Diagram Economic Activity 2 2 Circular Flow Mo

Circular Flow Of Economic Activity Diagram With Explanation

Circular Flow Of Economic Activity Diagram With Explanation

Circular Flow Diagram

Circular Flow Diagram

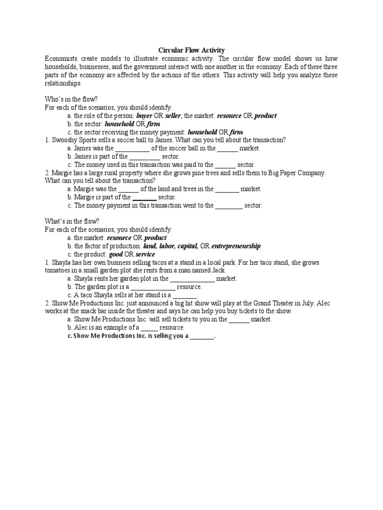
The Circular Flow Activity The Circular Flow Directions: Answer the

The Circular Flow Activity The Circular Flow Directions: Answer the

Circular Flow of Economic Activity Worksheet

Circular Flow of Economic Activity Worksheet

Understanding the Circular Flow Diagram in Economics

Understanding the Circular Flow Diagram in Economics

question 1 and 5 8 je Circular Flow of Economic Activity Worksheet 1

question 1 and 5 8 je Circular Flow of Economic Activity Worksheet 1

Circular Flow Diagram Open Market Economy Open Economy Circu

Circular Flow Diagram Open Market Economy Open Economy Circu

Circular Flow Diagram Of A Open Market Economy Flow Circular

Circular Flow Diagram Of A Open Market Economy Flow Circular

Circular Flow Diagram Of A Open Market Economy Flow Circular

Circular Flow Diagram Of A Open Market Economy Flow Circular

Circular Flow Diagram Goods And Services Posters Flow Circul

Circular Flow Diagram Goods And Services Posters Flow Circul

Circular Flow Diagram For A Closed Economy Circular Flow Of

Circular Flow Diagram For A Closed Economy Circular Flow Of

Circular Flow Diagram Of A Market Economy Definition In The

Circular Flow Diagram Of A Market Economy Definition In The

Circular Flow Model Analysis Worksheet

Circular Flow Model Analysis Worksheet

Circular Flow Diagram Open Market Economy Open Economy Circu

Circular Flow Diagram Open Market Economy Open Economy Circu

The Circular flow Diagram Shows How: Circular flow Diagram

The Circular flow Diagram Shows How: Circular flow Diagram

Inscribed Angles In Circles Worksheet Answers Angleworksheets com

Inscribed Angles In Circles Worksheet Answers Angleworksheets com

Circular Economy

Circular Economy

Circular Flow Diagram Y Element Flow Circular Diagram Produc

Circular Flow Diagram Y Element Flow Circular Diagram Produc

Circular Economy

Circular Economy

Circular Economy

Circular Economy

Circular Economy

Circular Economy

Circular Flow Diagram Of A Closed Economy Circular Flow Diag

Circular Flow Diagram Of A Closed Economy Circular Flow Diag

Draw A Circular Flow Diagram Selena Pays Solved The Circular

Draw A Circular Flow Diagram Selena Pays Solved The Circular

Complete Circular Flow Diagram Economics On Vas Economy Econ

Complete Circular Flow Diagram Economics On Vas Economy Econ

Circular Flow Diagram Usa Test Prep Solved 1 Looking At The

Circular Flow Diagram Usa Test Prep Solved 1 Looking At The

The Circular flow Diagram Shows How: Circular flow Diagram

The Circular flow Diagram Shows How: Circular flow Diagram

Draw A Circular Flow Diagram Selena Pays Solved The Circular

Draw A Circular Flow Diagram Selena Pays Solved The Circular

10 In A Simple Circular flow Diagram

10 In A Simple Circular flow Diagram

In The Circular Flow Diagram Goods And Services Chapter 2 Th

In The Circular Flow Diagram Goods And Services Chapter 2 Th

Look At The Circular Flow Diagram Flow Circular Diagram Prod

Look At The Circular Flow Diagram Flow Circular Diagram Prod

Contoh Soal Circular Flow Diagram Circular Flow Diagram Exam

Contoh Soal Circular Flow Diagram Circular Flow Diagram Exam

Diagram Of Three Sector Model Three Sector Model

Diagram Of Three Sector Model Three Sector Model