Advertisement

Dallas Certificate Of Occupancy

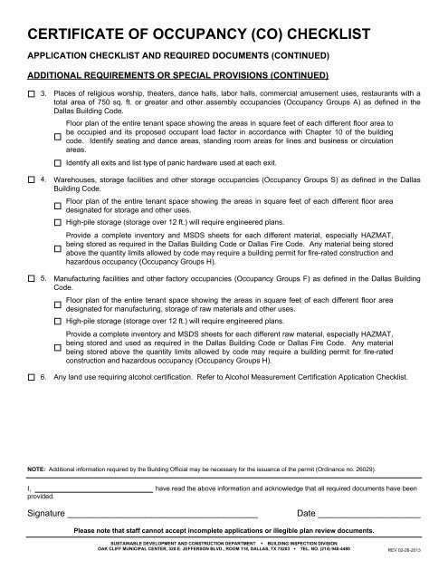
Here are some of the images for Dallas Certificate Of Occupancy that we found in our website database.

Dallas Fort Worth no longer a top 25 place to live declares U S News

Dallas Fort Worth no longer a top 25 place to live declares U S News

15 of the Best Things to do in Dallas Travel Insider

15 of the Best Things to do in Dallas Travel Insider

9 Incredible Places You Should Check Out in Dallas Texas

9 Incredible Places You Should Check Out in Dallas Texas

Dallas USA MAHALO cz

Dallas USA MAHALO cz

Dallas History Population Map Points of Interest Britannica

Dallas History Population Map Points of Interest Britannica

Find Hotels Near Holiday Inn Dallas Market Ctr Love Field Dallas TX

Find Hotels Near Holiday Inn Dallas Market Ctr Love Field Dallas TX

Dallas Desktop Wallpapers Top Free Dallas Desktop Backgrounds

Dallas Desktop Wallpapers Top Free Dallas Desktop Backgrounds

Dallas Skyline Wallpapers Top Free Dallas Skyline Backgrounds

Dallas Skyline Wallpapers Top Free Dallas Skyline Backgrounds

Dallas architecture Dujardin Design

Dallas architecture Dujardin Design

Most Historic Places Downtown Dallas Parks for Downtown Dallas

Most Historic Places Downtown Dallas Parks for Downtown Dallas

Dallas Texas Wallpapers Wallpaper Cave

Dallas Texas Wallpapers Wallpaper Cave

Things To Do in Dallas This Weekend Fun DFW Events for Everyone

Things To Do in Dallas This Weekend Fun DFW Events for Everyone

Cómo llegar y moverse por Dallas: Aeropuertos más cercanos transporte

Cómo llegar y moverse por Dallas: Aeropuertos más cercanos transporte

60 Fun Things To Do In Dallas (Texas) Attractions Activities

60 Fun Things To Do In Dallas (Texas) Attractions Activities

Top 50 Dallas Attractions Things To Do You #39 ll Never Forget

Top 50 Dallas Attractions Things To Do You #39 ll Never Forget

Dallas Skyline Wallpapers Top Free Dallas Skyline Backgrounds

Dallas Skyline Wallpapers Top Free Dallas Skyline Backgrounds

Download Dallas Skyline Buildings Daytime Wallpaper Wallpapers com

Download Dallas Skyline Buildings Daytime Wallpaper Wallpapers com

Download Dallas Skyline Colorful Lights Wallpaper Wallpapers com

Download Dallas Skyline Colorful Lights Wallpaper Wallpapers com

20 Best Things to Do in Dallas for Locals and Tourists Alike

20 Best Things to Do in Dallas for Locals and Tourists Alike

Dallas Skyline Wallpapers Wallpaper Cave

Dallas Skyline Wallpapers Wallpaper Cave

Dallas Un destino deportivo Volaris Revista

Dallas Un destino deportivo Volaris Revista

Download Dallas Skyline Reunion Tower Wallpaper Wallpapers com

Download Dallas Skyline Reunion Tower Wallpaper Wallpapers com

Guía de viaje Dallas Turismo Dallas KAYAK

Guía de viaje Dallas Turismo Dallas KAYAK

🔥 90  Dallas Skyline Wallpapers WallpaperSafari

🔥 90 Dallas Skyline Wallpapers WallpaperSafari

Download Dallas Skyline Thick Sky Clouds Wallpaper Wallpapers com

Download Dallas Skyline Thick Sky Clouds Wallpaper Wallpapers com

Dallas Wallpapers Wallpaper Cave

Dallas Wallpapers Wallpaper Cave

Dallas Skyline at Dusk with Autumn Sunset OC 1810x1207 Dallas

Dallas Skyline at Dusk with Autumn Sunset OC 1810x1207 Dallas

Download Dallas Skyline Fountain Place Wallpaper Wallpapers com

Download Dallas Skyline Fountain Place Wallpaper Wallpapers com

Download Dallas Skyline Clear Blue Sky Wallpaper Wallpapers com

Download Dallas Skyline Clear Blue Sky Wallpaper Wallpapers com

Quest Events Visit Dallas

Quest Events Visit Dallas

$62 CHEAP FLIGHTS from Washington D C to Dallas Fort Worth (WAS DFW

$62 CHEAP FLIGHTS from Washington D C to Dallas Fort Worth (WAS DFW

The 100 Most Expensive Homes in Dallas 2009 D Magazine

The 100 Most Expensive Homes in Dallas 2009 D Magazine

Dallas city skyline Dallas Texas de la Pen

Dallas city skyline Dallas Texas de la Pen

Dallas from 400 feet with a tribute to Muhammad Ali on Flickr

Dallas from 400 feet with a tribute to Muhammad Ali on Flickr

Dallas viaje a la historia de Estados Unidos

Dallas viaje a la historia de Estados Unidos