Advertisement

Debt Payoff Printable

Here are some of the images for Debt Payoff Printable that we found in our website database.

Free Printable Debt Payoff Planner Free Organizing Printables

Free Printable Debt Payoff Planner Free Organizing Printables

Free Printable Debt Payoff Planner Free Organizing Printables

Free Printable Debt Payoff Planner Free Organizing Printables

Free Printable Debt Payoff Planner Free Organizing Printables

Free Printable Debt Payoff Planner Free Organizing Printables

Printable debt payoff tracker Artofit

Printable debt payoff tracker Artofit

Debt Payoff Planner Free Printable

Debt Payoff Planner Free Printable

Debt Payoff Printable Free Templates Printable Download

Debt Payoff Printable Free Templates Printable Download

Debt Payment Tracker Printable Ataglance Printable Calendar

Debt Payment Tracker Printable Ataglance Printable Calendar

Printable Debt Payoff Calculator

Printable Debt Payoff Calculator

Debt Trackers Debt Snowball Worksheets 35 Pages Printabulls

Debt Trackers Debt Snowball Worksheets 35 Pages Printabulls

Bill Tracker Printable Free Organizing Printables

Bill Tracker Printable Free Organizing Printables

Bill Tracker Printable Free Organizing Printables

Bill Tracker Printable Free Organizing Printables

Free Printable Debt Payoff Planner Free Organizing Printables

Free Printable Debt Payoff Planner Free Organizing Printables

Free credit card debt payoff tracker printable Artofit

Free credit card debt payoff tracker printable Artofit

Debt Tracker Printable Debt Payoff Printable Debt Free Etsy

Debt Tracker Printable Debt Payoff Printable Debt Free Etsy

Debt Payoff Tracker Printable Educational Printable Activities

Debt Payoff Tracker Printable Educational Printable Activities

Debt Payoff Printable Printable Calendars AT A GLANCE

Debt Payoff Printable Printable Calendars AT A GLANCE

Free Printable Debt Payoff Planner Printable Word Searches

Free Printable Debt Payoff Planner Printable Word Searches

Free Debt Payoff Spreadsheet Template

Free Debt Payoff Spreadsheet Template

11 Best Debt Payoff Planner Printables (   Free Credit Card Debt

11 Best Debt Payoff Planner Printables ( Free Credit Card Debt

Debt Tracker Notion Table Template Free Educational Printable Activities

Debt Tracker Notion Table Template Free Educational Printable Activities

Debt Snowball Tracker Printable Minimalist Debt Payoff Worksheet

Debt Snowball Tracker Printable Minimalist Debt Payoff Worksheet

Debt Payoff Tracker Printable Debt Snowball Worksheet Budgeting

Debt Payoff Tracker Printable Debt Snowball Worksheet Budgeting

Debt Payoff Tracker Printable Debt Snowball Worksheet Budgeting

Debt Payoff Tracker Printable Debt Snowball Worksheet Budgeting

Debt Snowball Tracker Printable Minimalist Debt Payoff Worksheet

Debt Snowball Tracker Printable Minimalist Debt Payoff Worksheet

Debt Breakdown Tracker Printable 2026 Payoff Planner Debt Snowball

Debt Breakdown Tracker Printable 2026 Payoff Planner Debt Snowball

2026 Debt Snowball Tracker Printable Pay off Debt Fast Cheat Sheet

2026 Debt Snowball Tracker Printable Pay off Debt Fast Cheat Sheet

2026 Debt Snowball Tracker Printable Pay off Debt Fast Cheat Sheet

2026 Debt Snowball Tracker Printable Pay off Debt Fast Cheat Sheet

Debt Printable Worksheets Debt Repayment Plan Worksheet

Debt Printable Worksheets Debt Repayment Plan Worksheet

38 Debt Snowball Spreadsheets Forms Calculators db excel com

38 Debt Snowball Spreadsheets Forms Calculators db excel com

2026 Debt Free Planner Budget Tracker Debt Snowball Payoff Printable

2026 Debt Free Planner Budget Tracker Debt Snowball Payoff Printable

2026 Debt Free Planner Budget Tracker Debt Snowball Payoff Printable

2026 Debt Free Planner Budget Tracker Debt Snowball Payoff Printable

2026 Debt Free Planner Budget Tracker Debt Snowball Payoff Printable

2026 Debt Free Planner Budget Tracker Debt Snowball Payoff Printable

Digital Debt Tracker Printable PDF Auto calculating Debt Payoff Log

Digital Debt Tracker Printable PDF Auto calculating Debt Payoff Log

Debt Snowball Payoff Aesthetic Etsy UK

Debt Snowball Payoff Aesthetic Etsy UK

Editable Debt Tracker Etsy

Editable Debt Tracker Etsy

2026 Financial Goals Planner Savings Debt Payoff Budget Money

2026 Financial Goals Planner Savings Debt Payoff Budget Money

2026 Financial Goals Planner Savings Debt Payoff Budget Money

2026 Financial Goals Planner Savings Debt Payoff Budget Money

Debt Payoff Tracker Printable Calendar Productivity Hacks

Debt Payoff Tracker Printable Calendar Productivity Hacks

Debt Snowball Worksheet Free Printable Printable Sight Words List

Debt Snowball Worksheet Free Printable Printable Sight Words List

Template Free Free Printable Debt Payoff Worksheet Pdf Templates FREE

Template Free Free Printable Debt Payoff Worksheet Pdf Templates FREE

Debt Payoff Tracker Printable Printable Yearly Calendar

Debt Payoff Tracker Printable Printable Yearly Calendar

Pin on Debt Payoff

Pin on Debt Payoff

Pin on Debt Payoff

Pin on Debt Payoff

Printable Credit Card Payoff Spreadsheet prntbl

Printable Credit Card Payoff Spreadsheet prntbl

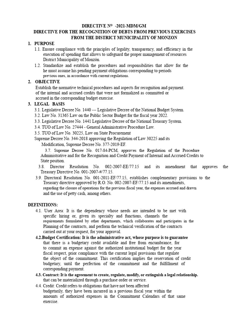
Recognition of Debt PDF Debt Debtor

Recognition of Debt PDF Debt Debtor

Personal Size Budget Planner Printable: Monthly Budget Savings Debt

Personal Size Budget Planner Printable: Monthly Budget Savings Debt

DRAFT DIRECTIVE FOR DEBT RECOGNITION PDF Receipt Debt

DRAFT DIRECTIVE FOR DEBT RECOGNITION PDF Receipt Debt

Debt Tracker Spreadsheet inside 38 Debt Snowball Spreadsheets Forms

Debt Tracker Spreadsheet inside 38 Debt Snowball Spreadsheets Forms

Overall Debt Payoff Tracker Etsy

Overall Debt Payoff Tracker Etsy

Debt Payoff Spreadsheet inside 38 Debt Snowball Spreadsheets Forms

Debt Payoff Spreadsheet inside 38 Debt Snowball Spreadsheets Forms

Pin on Debt Payoff

Pin on Debt Payoff

Debt Reduction Plan Spreadsheet in 38 Debt Snowball Spreadsheets Forms

Debt Reduction Plan Spreadsheet in 38 Debt Snowball Spreadsheets Forms

Pin on Debt Payoff

Pin on Debt Payoff

How To Create A Spreadsheet To Pay Off Debt with 38 Debt Snowball

How To Create A Spreadsheet To Pay Off Debt with 38 Debt Snowball

Debt Payoff Spreadsheet pertaining to 38 Debt Snowball Spreadsheets

Debt Payoff Spreadsheet pertaining to 38 Debt Snowball Spreadsheets

Debt disaster lancasteronline com

Debt disaster lancasteronline com

Debt Collection Dispute Letter Printable File for Microsoft Word

Debt Collection Dispute Letter Printable File for Microsoft Word

Debt Collection Dispute Letter Printable File for Microsoft Word

Debt Collection Dispute Letter Printable File for Microsoft Word

38 Debt Snowball Spreadsheets Forms Calculators within Spreadsheet

38 Debt Snowball Spreadsheets Forms Calculators within Spreadsheet

Real Debt Solutions For Distressed Homeowners Facing Foreclosure

Real Debt Solutions For Distressed Homeowners Facing Foreclosure

Fast Debt Payoff Tips to Save Money and Gain Financial Relief Doolly

Fast Debt Payoff Tips to Save Money and Gain Financial Relief Doolly

Debt Consolidation Calculator: See How Much You Could Save

Debt Consolidation Calculator: See How Much You Could Save