Advertisement

Joe Birkett Appellate Court

Here are some of the images for Joe Birkett Appellate Court that we found in our website database.

Joe Birkett (US Court Judge) ~ Bio Wiki Photos Videos

Joe Birkett (US Court Judge) ~ Bio Wiki Photos Videos

Joe Birkett (US Court Judge) ~ Bio Wiki Photos Videos

Joe Birkett (US Court Judge) ~ Bio Wiki Photos Videos

Joe Birkett Photos and Premium High Res Pictures Getty Images

Joe Birkett Photos and Premium High Res Pictures Getty Images

23 Joe Birkett Photos High Res Pictures Getty Images

23 Joe Birkett Photos High Res Pictures Getty Images

23 Joe Birkett Photos High Res Pictures Getty Images

23 Joe Birkett Photos High Res Pictures Getty Images

23 Joe Birkett Photos High Res Pictures Getty Images

23 Joe Birkett Photos High Res Pictures Getty Images

23 Joe Birkett Photos High Res Pictures Getty Images

23 Joe Birkett Photos High Res Pictures Getty Images

23 Joe Birkett Photos High Res Pictures Getty Images

23 Joe Birkett Photos High Res Pictures Getty Images

23 Joe Birkett Photos High Res Pictures Getty Images

23 Joe Birkett Photos High Res Pictures Getty Images

23 Joe Birkett Photos High Res Pictures Getty Images

23 Joe Birkett Photos High Res Pictures Getty Images

23 Joe Birkett Photos High Res Pictures Getty Images

23 Joe Birkett Photos High Res Pictures Getty Images

23 Joe Birkett Photos High Res Pictures Getty Images

23 Joe Birkett Photos High Res Pictures Getty Images

23 Joe Birkett Photos High Res Pictures Getty Images

23 Joe Birkett Photos High Res Pictures Getty Images

Joe Birkett Official Site for Man Crush Monday #MCM Woman Crush

Joe Birkett Official Site for Man Crush Monday #MCM Woman Crush

Joe Birkett Official Site for Man Crush Monday #MCM Woman Crush

Joe Birkett Official Site for Man Crush Monday #MCM Woman Crush

Joe Birkett Official Site for Man Crush Monday #MCM Woman Crush

Joe Birkett Official Site for Man Crush Monday #MCM Woman Crush

Joe Birkett Official Site for Man Crush Monday #MCM Woman Crush

Joe Birkett Official Site for Man Crush Monday #MCM Woman Crush

Joe Birkett Official Site for Man Crush Monday #MCM Woman Crush

Joe Birkett Official Site for Man Crush Monday #MCM Woman Crush

California Courts Appellate Court Case Information 3 DocumentCloud

California Courts Appellate Court Case Information 3 DocumentCloud

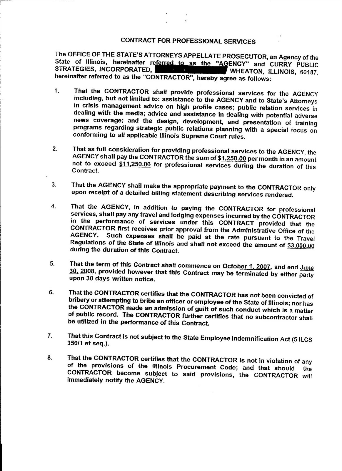
McHenryLeaks: ILSAAP Vice Chairman Joe Birkett Steered Agency Contracts

McHenryLeaks: ILSAAP Vice Chairman Joe Birkett Steered Agency Contracts

McHenryLeaks: ILSAAP Vice Chairman Joe Birkett Steered Agency Contracts

McHenryLeaks: ILSAAP Vice Chairman Joe Birkett Steered Agency Contracts

Joseph Birkett Ballotpedia

Joseph Birkett Ballotpedia

12 Birkett Court Altona Meadows VIC 3028 Domain

12 Birkett Court Altona Meadows VIC 3028 Domain

12 Birkett Court Altona Meadows VIC 3028 Domain

12 Birkett Court Altona Meadows VIC 3028 Domain

6 Birkett Court Altona Meadows VIC 3028 Domain

6 Birkett Court Altona Meadows VIC 3028 Domain

Joseph Birkett BoxRec

Joseph Birkett BoxRec

CountyLeaks: Tweets Twits Tax Dollars: Joe Birkett for Illinois

CountyLeaks: Tweets Twits Tax Dollars: Joe Birkett for Illinois

Charlie Birkett reads a statement to the media outside York Crown Court

Charlie Birkett reads a statement to the media outside York Crown Court

Appellate court upholds sentence for former Uber cyber executive Joe

Appellate court upholds sentence for former Uber cyber executive Joe

Illinois Republican Lt Governor candidate Joe Birkett speaks with

Illinois Republican Lt Governor candidate Joe Birkett speaks with

92 lbs Quarterfinal Benjamin Fisher HURRICANE WRESTLING ACADEMY vs

92 lbs Quarterfinal Benjamin Fisher HURRICANE WRESTLING ACADEMY vs

Who is George Wendt #39 s wife Bernadette Birkett and how long was she

Who is George Wendt #39 s wife Bernadette Birkett and how long was she

#39 US supreme court rules against race conscious university admissions

#39 US supreme court rules against race conscious university admissions

55 Scarborough Magistrates Court Stock Photos High Res Pictures and

55 Scarborough Magistrates Court Stock Photos High Res Pictures and

55 Scarborough Magistrates Court Stock Photos High Res Pictures and

55 Scarborough Magistrates Court Stock Photos High Res Pictures and

55 Scarborough Magistrates Court Stock Photos High Res Pictures and

55 Scarborough Magistrates Court Stock Photos High Res Pictures and

Hawaiian Airlines nomina Diana Birkett Rakow nuova CEO dopo il ritiro

Hawaiian Airlines nomina Diana Birkett Rakow nuova CEO dopo il ritiro

BREAKING: Federal appellate court sides with Douglass Mackey in meme

BREAKING: Federal appellate court sides with Douglass Mackey in meme

Appeals court skeptical of Meadows #39 bid to move Georgia case Roll Call

Appeals court skeptical of Meadows #39 bid to move Georgia case Roll Call

Photos: Nevada Governor Joe Lombardo takes oath of office in Carson City

Photos: Nevada Governor Joe Lombardo takes oath of office in Carson City

Photos: Nevada Governor Joe Lombardo takes oath of office in Carson City

Photos: Nevada Governor Joe Lombardo takes oath of office in Carson City

JUDGE KIM COOKS and JOE JOE BROWN define APPELLATE JUDGE Listen Notes

JUDGE KIM COOKS and JOE JOE BROWN define APPELLATE JUDGE Listen Notes

Kaitlin Joseph

Kaitlin Joseph

NYS Supreme Court Appellate Division celebrates first ever all Latino

NYS Supreme Court Appellate Division celebrates first ever all Latino

Former #ChicagoGoldenGloves champion and Appellate Court Justice Joe

Former #ChicagoGoldenGloves champion and Appellate Court Justice Joe

Hursh For Judge Home Page

Hursh For Judge Home Page

Facebook

Facebook

The Titans Chicago Golden Gloves

The Titans Chicago Golden Gloves

The Titans Chicago Golden Gloves

The Titans Chicago Golden Gloves

Welcome to Howling from Across the Pond by Joe Birkett

Welcome to Howling from Across the Pond by Joe Birkett

News/Updates Chicago Golden Gloves

News/Updates Chicago Golden Gloves

News/Updates Chicago Golden Gloves

News/Updates Chicago Golden Gloves

News/Updates Chicago Golden Gloves

News/Updates Chicago Golden Gloves

News/Updates Chicago Golden Gloves

News/Updates Chicago Golden Gloves

News/Updates Chicago Golden Gloves

News/Updates Chicago Golden Gloves

Well howdy Trump cult kids it #39 s Socialism again and today #39 s topic is

Well howdy Trump cult kids it #39 s Socialism again and today #39 s topic is

Joe Birkett ( DriftKazoku) Twitter

Joe Birkett ( DriftKazoku) Twitter

Please help On Supreme Court summary ICIVICS brainly com

Please help On Supreme Court summary ICIVICS brainly com

Leyden Veterans Park Boxing Gym BoxRec

Leyden Veterans Park Boxing Gym BoxRec

1957 New High Court Judge Justice Sellers Lord Justice Birkett

1957 New High Court Judge Justice Sellers Lord Justice Birkett