Advertisement

Julian And Gregorian Calendar Difference

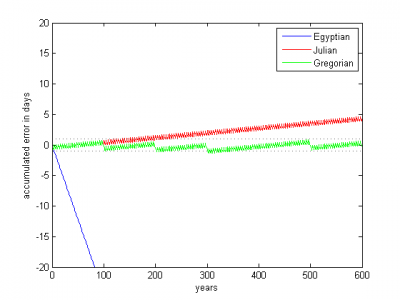
Here are some of the images for Julian And Gregorian Calendar Difference that we found in our website database.

Difference between Julian and Gregorian calendar

Difference between Julian and Gregorian calendar

Difference between Julian and Gregorian calendar

Difference between Julian and Gregorian calendar

Difference between Julian Calendar and Gregorian Calendar World

Difference between Julian Calendar and Gregorian Calendar World

Julian Vs Gregorian Calendar Difference Rea Leland

Julian Vs Gregorian Calendar Difference Rea Leland

Julian Vs Gregorian Calendar Difference Rea Leland

Julian Vs Gregorian Calendar Difference Rea Leland

Difference between Julian and Gregorian calendar

Difference between Julian and Gregorian calendar

Difference between Julian and Gregorian calendar

Difference between Julian and Gregorian calendar

Difference between Julian and Gregorian calendar

Difference between Julian and Gregorian calendar

Difference between Julian and Gregorian calendar

Difference between Julian and Gregorian calendar

Difference between Julian and Gregorian calendar

Difference between Julian and Gregorian calendar

Difference between Julian and Gregorian calendar

Difference between Julian and Gregorian calendar

Julian And Gregorian Calendar Difference Joly Roxana

Julian And Gregorian Calendar Difference Joly Roxana

Difference Between Gregorian And Julian Calendar Noel Terrie

Difference Between Gregorian And Julian Calendar Noel Terrie

Julian And Gregorian Calendar Difference Row Leonie

Julian And Gregorian Calendar Difference Row Leonie

What s the difference between Gregorian and Julian calendar? Ask Library

What s the difference between Gregorian and Julian calendar? Ask Library

Julian Or Gregorian Calendar Tova Ainsley

Julian Or Gregorian Calendar Tova Ainsley

Difference Julian And Gregorian Calendar prntbl

Difference Julian And Gregorian Calendar prntbl

Difference Between Gregorian And Julian Calendar prntbl

Difference Between Gregorian And Julian Calendar prntbl

Gregorian To Julian Calendar 2025 Tariq Stella

Gregorian To Julian Calendar 2025 Tariq Stella

Gregorian To Julian Calendar 2025 Tariq Stella

Gregorian To Julian Calendar 2025 Tariq Stella

What Is The Difference Between The Gregorian And Julian Calendar

What Is The Difference Between The Gregorian And Julian Calendar

Know what is difference between Julian Calendar and Gregorian Calendar

Know what is difference between Julian Calendar and Gregorian Calendar

Difference Between Gregorian And Julian Calendar prntbl

Difference Between Gregorian And Julian Calendar prntbl

Gregorian Calendar Vs Julian Calendar

Gregorian Calendar Vs Julian Calendar

What Is The Difference Between Julian Calendar And Gregorian Calendar

What Is The Difference Between Julian Calendar And Gregorian Calendar

Difference Between Julian And Gregorian Calendar prntbl

Difference Between Julian And Gregorian Calendar prntbl

Difference Between Julian And Gregorian Calendar prntbl

Difference Between Julian And Gregorian Calendar prntbl

Difference Between Islamic Calendar And Gregorian Calendar Janine

Difference Between Islamic Calendar And Gregorian Calendar Janine

What is the difference between a Gregorian and a Julian calendar?

What is the difference between a Gregorian and a Julian calendar?

What is the Difference Between Julian and Gregorian Calendars Pediaa Com

What is the Difference Between Julian and Gregorian Calendars Pediaa Com

What is the difference between a Gregorian and a Julian calendar?

What is the difference between a Gregorian and a Julian calendar?

Gregorian Calendar To Julian Calendar Converter Printable Calendars

Gregorian Calendar To Julian Calendar Converter Printable Calendars

What Is The Difference Between Julian And Gregorian Calendar prntbl

What Is The Difference Between Julian And Gregorian Calendar prntbl

What Is The Difference Between Julian And Gregorian Calendar prntbl

What Is The Difference Between Julian And Gregorian Calendar prntbl

What Is The Difference Between Julian And Gregorian Calendar prntbl

What Is The Difference Between Julian And Gregorian Calendar prntbl

What is the Difference Between Julian and Gregorian Calendars Pediaa Com

What is the Difference Between Julian and Gregorian Calendars Pediaa Com

What Is The Difference Between Julian And Gregorian Calendar prntbl

What Is The Difference Between Julian And Gregorian Calendar prntbl

What Is The Difference Between Julian And Gregorian Calendar prntbl

What Is The Difference Between Julian And Gregorian Calendar prntbl

What Is The Difference Between Julian And Gregorian Calendar prntbl

What Is The Difference Between Julian And Gregorian Calendar prntbl

What Is The Difference Between Julian And Gregorian Calendar prntbl

What Is The Difference Between Julian And Gregorian Calendar prntbl

What Is The Difference Between Julian And Gregorian Calendar prntbl

What Is The Difference Between Julian And Gregorian Calendar prntbl

What Is The Difference Between Gregorian And Julian Calendar prntbl

What Is The Difference Between Gregorian And Julian Calendar prntbl

Roman Calendar Vs Gregorian Calendar prntbl concejomunicipaldechinu

Roman Calendar Vs Gregorian Calendar prntbl concejomunicipaldechinu

What Is The Difference Between Gregorian And Lunar Calendar Fleur Jessika

What Is The Difference Between Gregorian And Lunar Calendar Fleur Jessika

Russian Calendar Difference Benni Catrina

Russian Calendar Difference Benni Catrina

Gregorian Calendar vs Hebrew Calendar YouTube

Gregorian Calendar vs Hebrew Calendar YouTube

Islamic vs Gregorian Calendar Understanding the Differences Solar vs

Islamic vs Gregorian Calendar Understanding the Differences Solar vs

Crazy Leap Year Facts That Reveal The Origins Of The Modern Day Calendar

Crazy Leap Year Facts That Reveal The Origins Of The Modern Day Calendar