Advertisement

Set Of Points Crossword

Here are some of the images for Set Of Points Crossword that we found in our website database.

Defined set of points Crossword Clue Answers Crossword Solver

Defined set of points Crossword Clue Answers Crossword Solver

Defined set of points NYT Crossword

Defined set of points NYT Crossword

Set of 3 wooden puzzle boxes classic trick boxes #4715630983

Set of 3 wooden puzzle boxes classic trick boxes #4715630983

BILD poster/city puzzle/set of 2 50x70 cm 70570493

BILD poster/city puzzle/set of 2 50x70 cm 70570493

Set 2 Volleyball Crossword Labs

Set 2 Volleyball Crossword Labs

Speed Cube Set Collection Brain Teasers Gold Mirror Cube Rubiks Puzzle

Speed Cube Set Collection Brain Teasers Gold Mirror Cube Rubiks Puzzle

Speed Cube Set Collection Brain Teasers Gold Mirror Cube Rubiks Puzzle

Speed Cube Set Collection Brain Teasers Gold Mirror Cube Rubiks Puzzle

*Wrestling move that scores two or more points Crossword Clue Answer

*Wrestling move that scores two or more points Crossword Clue Answer

Hard Rock Cafe PINS SET Atlanta DRAGON Con Set 1 2 puzzle piece lapel

Hard Rock Cafe PINS SET Atlanta DRAGON Con Set 1 2 puzzle piece lapel

Geometry: Terms Distance and Midpoint Crossword Labs

Geometry: Terms Distance and Midpoint Crossword Labs

Compass Points and Bearings Crossword WordMint

Compass Points and Bearings Crossword WordMint

Crossword Puzzle Clues Word Origin

Crossword Puzzle Clues Word Origin

Set of beliefs NYT Crossword Clue NYT Crossword Answers

Set of beliefs NYT Crossword Clue NYT Crossword Answers

Geometry Terms Crossword Puzzle

Geometry Terms Crossword Puzzle

Bandai Gashapon Coconut Sable Miniature Charm (Set of 5) HobbyDigi

Bandai Gashapon Coconut Sable Miniature Charm (Set of 5) HobbyDigi

Section 19 Codes and Puzzles

Section 19 Codes and Puzzles

Bandai Gashapon Puppet Sunsun Face Plushie (Set of 4) HobbyDigi com

Bandai Gashapon Puppet Sunsun Face Plushie (Set of 4) HobbyDigi com

Bandai Gashapon Stag Beetle 8 (Set of 5) HobbyDigi com Malaysia

Bandai Gashapon Stag Beetle 8 (Set of 5) HobbyDigi com Malaysia

Samal NO NME 1 1 Assessment ACTIVITY PHILIPPINE INDIGENOUS PEOPLES

Samal NO NME 1 1 Assessment ACTIVITY PHILIPPINE INDIGENOUS PEOPLES

power point section crossword bioaura haio

power point section crossword bioaura haio

Space to maneuver or a hint to five sets of circled letters in this

Space to maneuver or a hint to five sets of circled letters in this

power point section crossword bioaura haio

power point section crossword bioaura haio

CROSSWORD PUZZLE (100) POINTS WordMint

CROSSWORD PUZZLE (100) POINTS WordMint

Earn 1000 bonus points when you search/chat daily with Bing Complete

Earn 1000 bonus points when you search/chat daily with Bing Complete

Sassi Science Travel Learn and Explore Europe Puzzle Book Set BIG W

Sassi Science Travel Learn and Explore Europe Puzzle Book Set BIG W

1977 Cadaco Jumble Fits Figments Doodles Animals Cluster Puzzle Set

1977 Cadaco Jumble Fits Figments Doodles Animals Cluster Puzzle Set

Tennessee football sets program scoring record with 72 points against ETSU

Tennessee football sets program scoring record with 72 points against ETSU

Bandai Gashapon Bobobo Bo Bo Bobo Personal Marker (Set of 6

Bandai Gashapon Bobobo Bo Bo Bobo Personal Marker (Set of 6

Image as Set of Points ICLR2023 论文解读 Last Whisper 博客园

Image as Set of Points ICLR2023 论文解读 Last Whisper 博客园

A Guide to Microsoft Rewards How to Get Rewards Fast

A Guide to Microsoft Rewards How to Get Rewards Fast

Solved Because geometric figures consist of sets of points Chegg com

Solved Because geometric figures consist of sets of points Chegg com

Solved Question 2 Sketch the set of points (r θ) that Chegg com

Solved Question 2 Sketch the set of points (r θ) that Chegg com

Solved Because geometric figures consist of sets of points Chegg com

Solved Because geometric figures consist of sets of points Chegg com

100 turning points Crossword Labs

100 turning points Crossword Labs

Some Handball Points Crossword prntbl concejomunicipaldechinu gov co

Some Handball Points Crossword prntbl concejomunicipaldechinu gov co

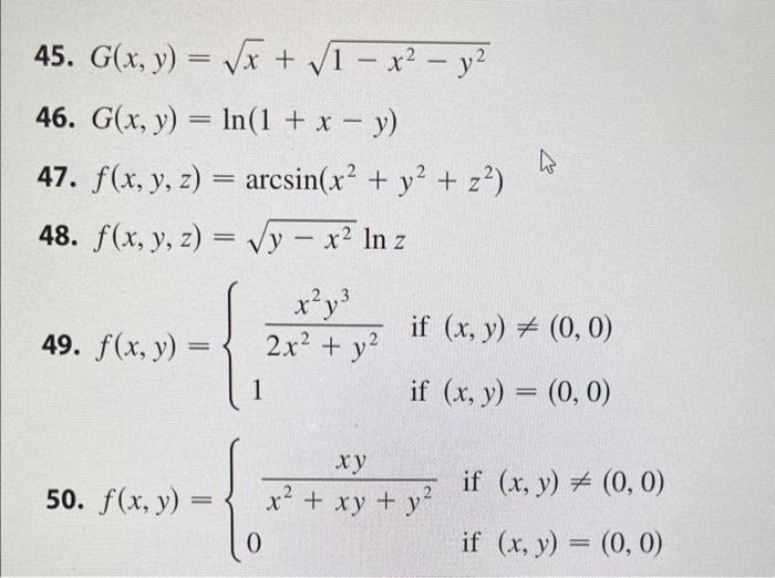
Solved 41 50 Determine the set of points at which the Chegg com

Solved 41 50 Determine the set of points at which the Chegg com

image as set of points ZhiYuanWang 博客园

image as set of points ZhiYuanWang 博客园

Solved 41 50 Determine the set of points at which the Chegg com

Solved 41 50 Determine the set of points at which the Chegg com

image as set of points ZhiYuanWang 博客园

image as set of points ZhiYuanWang 博客园

List 22 Points Crossword WordMint

List 22 Points Crossword WordMint

Math 2 Crossword Puzzle Crossword Labs

Math 2 Crossword Puzzle Crossword Labs

Solved: Which set of points represents the image of QRS after a

Solved: Which set of points represents the image of QRS after a

Bandai Gashapon Mercer Bis Miniature Charm (Set of 6) HobbyDigi com

Bandai Gashapon Mercer Bis Miniature Charm (Set of 6) HobbyDigi com

Microsoft Rewards 1 000 Points Puzzle Bonus Bing Mobile App Now

Microsoft Rewards 1 000 Points Puzzle Bonus Bing Mobile App Now

I #39 m not sure what to say after spy #39 s set up by M so stay quiet

I #39 m not sure what to say after spy #39 s set up by M so stay quiet

4 in 1 Bits Pieces 300 Pc Puzzle quot Scenic Beauty quot Set by Alan Giana

4 in 1 Bits Pieces 300 Pc Puzzle quot Scenic Beauty quot Set by Alan Giana

Point Puzzle Welcome Back answers Point Park Globe

Point Puzzle Welcome Back answers Point Park Globe

Bandai Gashapon Magical Doremi Miniature Light Selection (Set of 4

Bandai Gashapon Magical Doremi Miniature Light Selection (Set of 4

Solved 2) Determine the set of points at which the function Chegg com

Solved 2) Determine the set of points at which the function Chegg com

West Point ceremony celebrating Tom Hanks canceled

West Point ceremony celebrating Tom Hanks canceled

Point Puzzle Welcome Back answers Point Park Globe

Point Puzzle Welcome Back answers Point Park Globe

Tennessee football sets program scoring record with 72 points against ETSU

Tennessee football sets program scoring record with 72 points against ETSU

image as set of points ZhiYuanWang 博客园

image as set of points ZhiYuanWang 博客园

Point Puzzle Welcome Back answers Point Park Globe

Point Puzzle Welcome Back answers Point Park Globe

Rivers Regions Native Americans and Settlers Study Crossword Labs

Rivers Regions Native Americans and Settlers Study Crossword Labs

Vintage Walt Disney Mickey Mouse sliding puzzle print set pay day fun

Vintage Walt Disney Mickey Mouse sliding puzzle print set pay day fun

Maze Puzzle: Compass Points Activity by Teach Simple

Maze Puzzle: Compass Points Activity by Teach Simple

Find the coordinates of p that represent the weighted average of each

Find the coordinates of p that represent the weighted average of each

Math Crossword Puzzle Crossword Labs

Math Crossword Puzzle Crossword Labs

Bandai Gashapon Still Waiting For You Custard Pudding (Set of 7

Bandai Gashapon Still Waiting For You Custard Pudding (Set of 7