Advertisement

Sonicwall Certificate Not Validated

Here are some of the images for Sonicwall Certificate Not Validated that we found in our website database.

notvalidated Validation institute

notvalidated Validation institute

Sonicwall Certificate Not Validated prntbl concejomunicipaldechinu gov co

Sonicwall Certificate Not Validated prntbl concejomunicipaldechinu gov co

Sonicwall Certificate Not Validated prntbl concejomunicipaldechinu gov co

Sonicwall Certificate Not Validated prntbl concejomunicipaldechinu gov co

Sonicwall Certificate Not Validated prntbl concejomunicipaldechinu gov co

Sonicwall Certificate Not Validated prntbl concejomunicipaldechinu gov co

Sonicwall Certificate Not Validated prntbl concejomunicipaldechinu gov co

Sonicwall Certificate Not Validated prntbl concejomunicipaldechinu gov co

not validated form Codesandbox

not validated form Codesandbox

Updates MSME Registration

Updates MSME Registration

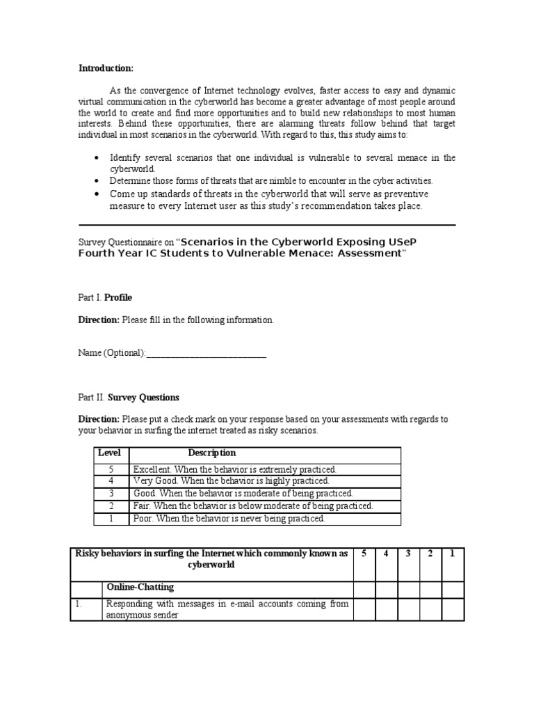
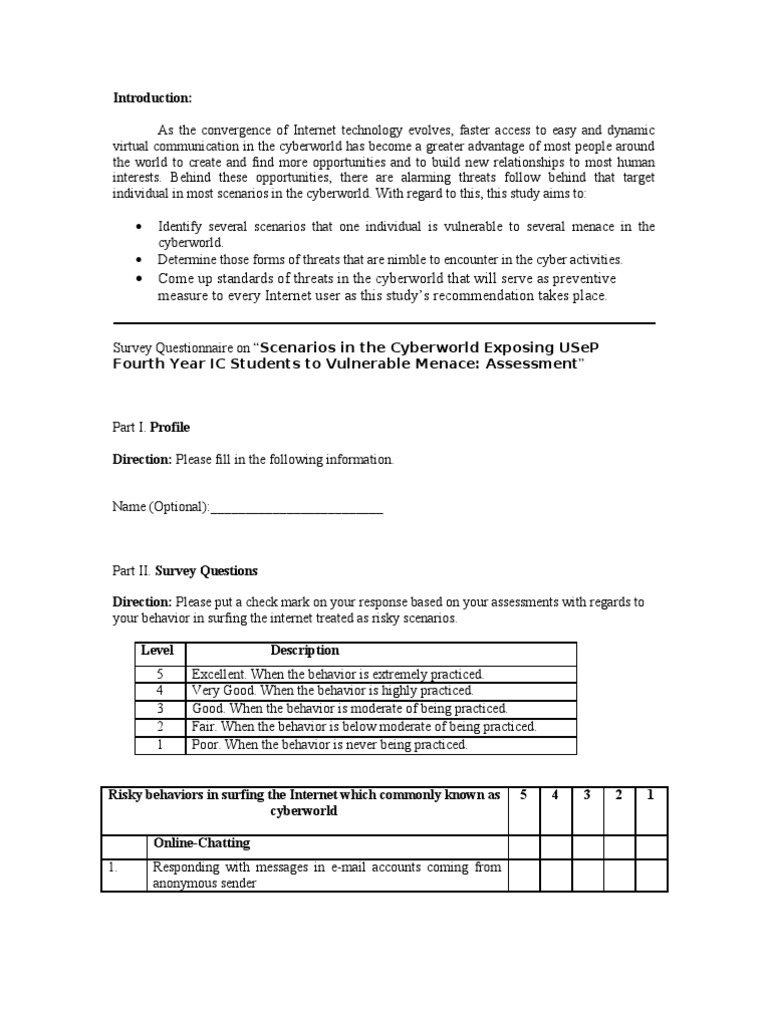
Validated Survey Questionnaires Information Age Internet

Validated Survey Questionnaires Information Age Internet

Caste certificate must be validated for quota benefits: Karnataka High

Caste certificate must be validated for quota benefits: Karnataka High

Why is my card not validated? Leia aqui: What does it mean when a card

Why is my card not validated? Leia aqui: What does it mean when a card

OV Certificate What is an Organization Validated Certificate

OV Certificate What is an Organization Validated Certificate

LMPC Certificate In Delhi

LMPC Certificate In Delhi

Gpo to deploy sonicwall certificate #5 by ervinbartha Windows

Gpo to deploy sonicwall certificate #5 by ervinbartha Windows

(7 Samples) Request Letter for Degree Certificate

(7 Samples) Request Letter for Degree Certificate

Learn about the SonicWall Certificate Error Techyv com

Learn about the SonicWall Certificate Error Techyv com

Gpo to deploy sonicwall certificate Windows Spiceworks Community

Gpo to deploy sonicwall certificate Windows Spiceworks Community

Gpo to deploy sonicwall certificate Windows Spiceworks Community

Gpo to deploy sonicwall certificate Windows Spiceworks Community

Gpo to deploy sonicwall certificate Windows Spiceworks Community

Gpo to deploy sonicwall certificate Windows Spiceworks Community

We could not verify the certificate: reason= Untrusted error SonicWall

We could not verify the certificate: reason= Untrusted error SonicWall

How To Validate Signature In Gst Registration Certificate Templates

How To Validate Signature In Gst Registration Certificate Templates

KDC certificate for the domain controller Windows Event Log

KDC certificate for the domain controller Windows Event Log

quot Not Secure quot error after using SSL certificate when accessing Firewall

quot Not Secure quot error after using SSL certificate when accessing Firewall

Secure Your Network with a SonicWall SSL Certificate

Secure Your Network with a SonicWall SSL Certificate

Certificate errors while accessing the SonicWall web management (GUI

Certificate errors while accessing the SonicWall web management (GUI

Certificate errors while accessing the SonicWall web management (GUI

Certificate errors while accessing the SonicWall web management (GUI

Error quot SSL server auth flag or digital signature/key encipherment flag

Error quot SSL server auth flag or digital signature/key encipherment flag

How To Move An SSL Certificate From Windows To Sonicwall NSA SSL

How To Move An SSL Certificate From Windows To Sonicwall NSA SSL

Error quot SSL server auth flag or digital signature/key encipherment flag

Error quot SSL server auth flag or digital signature/key encipherment flag

Error quot SSL server auth flag or digital signature/key encipherment flag

Error quot SSL server auth flag or digital signature/key encipherment flag

NetExtender error: SSL error happened your OS not support connecting

NetExtender error: SSL error happened your OS not support connecting

NetExtender error: SSL error happened your OS not support connecting

NetExtender error: SSL error happened your OS not support connecting

NetExtender error: SSL error happened your OS not support connecting

NetExtender error: SSL error happened your OS not support connecting

NetExtender error: SSL error happened your OS not support connecting

NetExtender error: SSL error happened your OS not support connecting

NetExtender error: SSL error happened your OS not support connecting

NetExtender error: SSL error happened your OS not support connecting

NetExtender error: SSL error happened your OS not support connecting

NetExtender error: SSL error happened your OS not support connecting

NetExtender error: SSL error happened your OS not support connecting

NetExtender error: SSL error happened your OS not support connecting

NetExtender error: SSL error happened your OS not support connecting

NetExtender error: SSL error happened your OS not support connecting

How can I enable client Certificate check for HTTPS management on the

How can I enable client Certificate check for HTTPS management on the

How can I enable client Certificate check for HTTPS management on the

How can I enable client Certificate check for HTTPS management on the

Not Valid Sign Or Stamp Rubber Miscellaneous Imprint Vector Rubber

Not Valid Sign Or Stamp Rubber Miscellaneous Imprint Vector Rubber

How to Download SonicWALL VPN Client YouTube

How to Download SonicWALL VPN Client YouTube

Eligible for EWS Certificate Renewal Caste Validity 5 Validity In

Eligible for EWS Certificate Renewal Caste Validity 5 Validity In

KB Parallels: Reissue KDC Authentication certificate for domain controllers

KB Parallels: Reissue KDC Authentication certificate for domain controllers

My Certificates Network Pioneers

My Certificates Network Pioneers

My Certificates Network Pioneers

My Certificates Network Pioneers

My Certificates Network Pioneers

My Certificates Network Pioneers

My Certificates Network Pioneers

My Certificates Network Pioneers

Sonicwall Cert

Sonicwall Cert

SonicWall TZ270 SonicSecured com

SonicWall TZ270 SonicSecured com

Error while accessing site SonicWall Community

Error while accessing site SonicWall Community

UNIMAS Business School Hi Ipoh We are coming back again this weekend

UNIMAS Business School Hi Ipoh We are coming back again this weekend

Half Court Basketball Court Dimensions prntbl concejomunicipaldechinu

Half Court Basketball Court Dimensions prntbl concejomunicipaldechinu

Letter M Template Free Printable prntbl concejomunicipaldechinu gov co

Letter M Template Free Printable prntbl concejomunicipaldechinu gov co

Letter M Template Free Printable prntbl concejomunicipaldechinu gov co

Letter M Template Free Printable prntbl concejomunicipaldechinu gov co

How to fix the errorError downloading email from mail server at outlook

How to fix the errorError downloading email from mail server at outlook

Solution we handle and offer in UAE Certification Achievements ppt

Solution we handle and offer in UAE Certification Achievements ppt

SonicWall SMA 500V (Previously SRA Secure Remote Access Virtual

SonicWall SMA 500V (Previously SRA Secure Remote Access Virtual

Dell SonicWall Network Security Appliance Integration with AuthPoint

Dell SonicWall Network Security Appliance Integration with AuthPoint

Sonic wall mobile connect for ios user guide rev b PDF

Sonic wall mobile connect for ios user guide rev b PDF

VPN site to site with Remote Peer Dynamic IP Check Point CheckMates

VPN site to site with Remote Peer Dynamic IP Check Point CheckMates