Advertisement

They Parallel Radii Crossword

Here are some of the images for They Parallel Radii Crossword that we found in our website database.

Parallel 100 50dB High Acoustic Double Glazed Partition Radii

Parallel 100 50dB High Acoustic Double Glazed Partition Radii

Parallel 100 50dB High Acoustic Double Glazed Partition Radii

Parallel 100 50dB High Acoustic Double Glazed Partition Radii

Parallel 100 50dB High Acoustic Double Glazed Partition Radii

Parallel 100 50dB High Acoustic Double Glazed Partition Radii

Parallel 84 DG Glazed Partition Top Hung Sliding Door Radii

Parallel 84 DG Glazed Partition Top Hung Sliding Door Radii

Arm bones parallel to ulnae Crossword Clue Daily Commuter

Arm bones parallel to ulnae Crossword Clue Daily Commuter

Parallel lines in a transversal Crossword Labs

Parallel lines in a transversal Crossword Labs

Series and Parallel Circuit Comparisons Crossword Labs

Series and Parallel Circuit Comparisons Crossword Labs

Series Parallel Connections Crossword Puzzle

Series Parallel Connections Crossword Puzzle

With 9 Across parallel bars? NYT Crossword

With 9 Across parallel bars? NYT Crossword

Transversals and Parallel Lines Angles Crossword Labs

Transversals and Parallel Lines Angles Crossword Labs

Parallel and Perpendicular Lines Crossword Puzzle

Parallel and Perpendicular Lines Crossword Puzzle

Electric Circuit Series and Parallel Crossword Puzzle

Electric Circuit Series and Parallel Crossword Puzzle

Electric Circuit Series and Parallel Crossword Puzzle

Electric Circuit Series and Parallel Crossword Puzzle

8 09 Series and Parallel Circuits (1) Crossword Labs

8 09 Series and Parallel Circuits (1) Crossword Labs

Some parallel bars Crossword Clue Answers Crossword Solver

Some parallel bars Crossword Clue Answers Crossword Solver

Parallel and Perpendicular Crossword Puzzle by Rise and Sine TPT

Parallel and Perpendicular Crossword Puzzle by Rise and Sine TPT

Parallel and Perpendicular Crossword Puzzle by Rise and Sine TPT

Parallel and Perpendicular Crossword Puzzle by Rise and Sine TPT

Parallel and Perpendicular Crossword Puzzle by Rise and Sine TPT

Parallel and Perpendicular Crossword Puzzle by Rise and Sine TPT

Parallel and Perpendicular Crossword Puzzle by Rise and Sine TPT

Parallel and Perpendicular Crossword Puzzle by Rise and Sine TPT

SDI Radii Xpert Diagnostic 5600306

SDI Radii Xpert Diagnostic 5600306

Parallel Lines Angle Relationships Crossword Activity by Make Math

Parallel Lines Angle Relationships Crossword Activity by Make Math

Engineering Alphabet what do they engineer? Crossword Labs

Engineering Alphabet what do they engineer? Crossword Labs

World capital near the 60th parallel Crossword Clue Answers TechWiser

World capital near the 60th parallel Crossword Clue Answers TechWiser

The lengths and radii of three wires of same metal are in the ratios

The lengths and radii of three wires of same metal are in the ratios

SOLVED: Because circles of latitude are drawn parallel to the equator

SOLVED: Because circles of latitude are drawn parallel to the equator

(A) Ratio of the normal and parallel radii of gyration R 2 g⊥ / R 2

(A) Ratio of the normal and parallel radii of gyration R 2 g⊥ / R 2

(A) Ratio of the normal and parallel radii of gyration R 2 g⊥ / R 2

(A) Ratio of the normal and parallel radii of gyration R 2 g⊥ / R 2

Parallel Perpendicular Lines Word Search Crossword Puzzle

Parallel Perpendicular Lines Word Search Crossword Puzzle

Solved Two earth satellites are in parallel orbits with Chegg com

Solved Two earth satellites are in parallel orbits with Chegg com

1 7 Two long cylindrical conductors of radii a and a are parallel

1 7 Two long cylindrical conductors of radii a and a are parallel

Geometry Parallel Perpendicular Lines Vocabulary Crossword Puzzle No Prep

Geometry Parallel Perpendicular Lines Vocabulary Crossword Puzzle No Prep

Two tangent galvanometers A and B have coils of radii 8 cm and 16 cm

Two tangent galvanometers A and B have coils of radii 8 cm and 16 cm

Parallel and Perpendicular Lines Vocabulary Crossword Puzzle Printable

Parallel and Perpendicular Lines Vocabulary Crossword Puzzle Printable

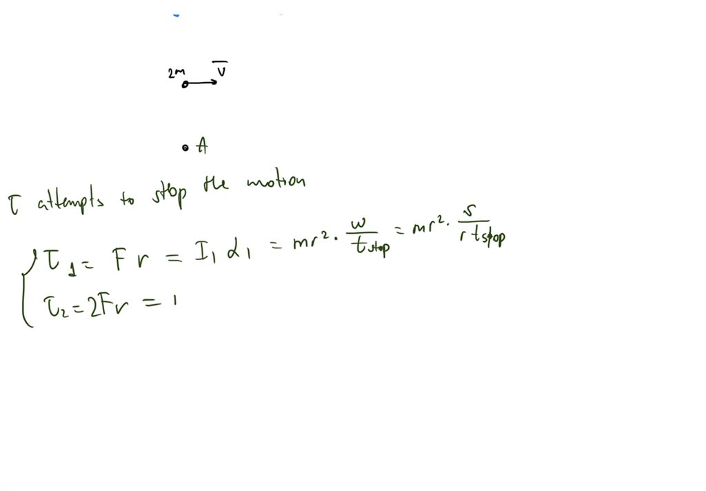
SOLVED: An object of mass m = m and an object of mass mz = 2m move

SOLVED: An object of mass m = m and an object of mass mz = 2m move

SOLVED: Two thin rings with equal radii of R have total electric

SOLVED: Two thin rings with equal radii of R have total electric

Two tangent galvanometers A and B have coils of radii 8 cm and 16 cm

Two tangent galvanometers A and B have coils of radii 8 cm and 16 cm

Because circles of latitude are drawn parallel to the

Because circles of latitude are drawn parallel to the

parallel copper wires of small but finite radii lie in the same plane

parallel copper wires of small but finite radii lie in the same plane

Parallel and Perpendicular Lines Crossword

Parallel and Perpendicular Lines Crossword

Answered: Item 11 Two earth satellites are in parallel orbits with

Answered: Item 11 Two earth satellites are in parallel orbits with

Buy Scrabble Scrabble Board Game 2 4 Players Crossword Game English

Buy Scrabble Scrabble Board Game 2 4 Players Crossword Game English

Buy Scrabble Scrabble Board Game 2 4 Players Crossword Game English

Buy Scrabble Scrabble Board Game 2 4 Players Crossword Game English

They rate up to 350 000 on the Scoville scale Crossword Clue

They rate up to 350 000 on the Scoville scale Crossword Clue

Parallel Parking Crosshare crossword puzzle

Parallel Parking Crosshare crossword puzzle

Isilah jawaban yang tepat (Parallel Structure) Crossword

Isilah jawaban yang tepat (Parallel Structure) Crossword

April 2022 EE Boards Engineering Mathematics Trigonometry Three circles

April 2022 EE Boards Engineering Mathematics Trigonometry Three circles

as shown in the figure two loops carry currents with i1 36 aand i2 94 a

as shown in the figure two loops carry currents with i1 36 aand i2 94 a

Recall that two circles are congruent if they have the same radii

Recall that two circles are congruent if they have the same radii

Two circles of radii 5 cm and 2 8 cm touch each other Find KnowledgeBoat

Two circles of radii 5 cm and 2 8 cm touch each other Find KnowledgeBoat

Perpendicular (panel c) and parallel (panel d) proton temperatures

Perpendicular (panel c) and parallel (panel d) proton temperatures

23 Fractions of the radiant flux transferred between two coaxial

23 Fractions of the radiant flux transferred between two coaxial

Parallel 100 Double Glazed 100mm Glass Partition System Radii NBS

Parallel 100 Double Glazed 100mm Glass Partition System Radii NBS

SOLVED:Two long parallel cylinders form a capacitor (Let their cross

SOLVED:Two long parallel cylinders form a capacitor (Let their cross

46 If a line is perpendicular to a radius of a circle at its endpoint

46 If a line is perpendicular to a radius of a circle at its endpoint

Answered: The three circles are arranged so that they touch each other

Answered: The three circles are arranged so that they touch each other

Two uniform solid spheres of equal radii R but mass M and 4M have a

Two uniform solid spheres of equal radii R but mass M and 4M have a

Two circular coils of radii #92 ( 20 #92 mathrm{~cm} #92 ) and #92 ( 30 #92 mathrm{~cm

Two circular coils of radii #92 ( 20 #92 mathrm{~cm} #92 ) and #92 ( 30 #92 mathrm{~cm

A right circular cylinder and a cone have equal bases and equal heights

A right circular cylinder and a cone have equal bases and equal heights