Advertisement

Travel Waiver Form Template

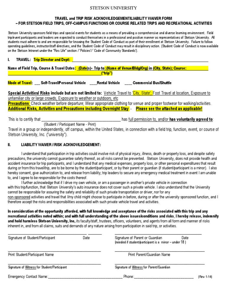
Here are some of the images for Travel Waiver Form Template that we found in our website database.

Tips For International Travel HolidayTurn

Tips For International Travel HolidayTurn

Travel Guides

Travel Guides

Top Destinations To Consider For Your Next Holiday In 2017 Just Run Lah

Top Destinations To Consider For Your Next Holiday In 2017 Just Run Lah

2 Day Scenic Rim Trail House of Travel

2 Day Scenic Rim Trail House of Travel

Nanuku Resort Fiji Beachfront Escape House of Travel

Nanuku Resort Fiji Beachfront Escape House of Travel

Sunset Resort Rarotonga Couples Getaway House of Travel

Sunset Resort Rarotonga Couples Getaway House of Travel

7 Best Reasons Why Travel is Important :: NoGarlicNoOnions: Restaurant

7 Best Reasons Why Travel is Important :: NoGarlicNoOnions: Restaurant

How to Build a Budget Travel Itinerary in 5 Simple Steps 2025

How to Build a Budget Travel Itinerary in 5 Simple Steps 2025

15 Ways to Travel for Less With or Without a Credit Card

15 Ways to Travel for Less With or Without a Credit Card

Travel

Travel

Where to travel based on your personality type

Where to travel based on your personality type

How To Get Your Travel Fix Without Going Far From Home According To

How To Get Your Travel Fix Without Going Far From Home According To

7 mistakes to avoid when you travel

7 mistakes to avoid when you travel

Travel It Solutions Travel Leisure WNS SA

Travel It Solutions Travel Leisure WNS SA

Travel Guidelines for Traveling from India to France or Europe by

Travel Guidelines for Traveling from India to France or Europe by

Travel Us

Travel Us

Your guide to the best travel destinations from Delhi Mumbai LSA India

Your guide to the best travel destinations from Delhi Mumbai LSA India

Travel Backgrounds Free Download

Travel Backgrounds Free Download

Unlock the Secrets to Saving Big on Travel with Our Upcoming Travel

Unlock the Secrets to Saving Big on Travel with Our Upcoming Travel

How To Start Over At 50 and Get Paid to Travel

How To Start Over At 50 and Get Paid to Travel

30 Basic Safe Travel Tips for Traveling Abroad

30 Basic Safe Travel Tips for Traveling Abroad

33 Budget Friendly Travel Tips For Your Next Great Vacation

33 Budget Friendly Travel Tips For Your Next Great Vacation

How to Travel for Free How to Get Paid to Travel Trusted Since 1922

How to Travel for Free How to Get Paid to Travel Trusted Since 1922

The Top 10 Best Travel Hacks To Save the Most Money GOBankingRates

The Top 10 Best Travel Hacks To Save the Most Money GOBankingRates

Travel Hacks Tricks Revealed for a Seamless Journey These 10 tips

Travel Hacks Tricks Revealed for a Seamless Journey These 10 tips

How to Travel for Cheap: 8 Budget Friendly Ways to See the World

How to Travel for Cheap: 8 Budget Friendly Ways to See the World

How Travel Can Inspire Creativity

How Travel Can Inspire Creativity

What Are 5 Benefits of Travel? Creative Travel Connections

What Are 5 Benefits of Travel? Creative Travel Connections

The Actually Region Why Do Have to Travel by lueramartin Medium

The Actually Region Why Do Have to Travel by lueramartin Medium

10 Tips to Travel More Sustainably

10 Tips to Travel More Sustainably

Medical Tourism Things to Consider for Travel Outside the United States

Medical Tourism Things to Consider for Travel Outside the United States

Discover the Premier Travel Planner Experience in Irvine Solo Travel

Discover the Premier Travel Planner Experience in Irvine Solo Travel

5 Up and Coming Travel Destinations for 2017 The Luxury Lifestyle

5 Up and Coming Travel Destinations for 2017 The Luxury Lifestyle

OH YOU TRAVEL TRAVEL : 6 TIPS TO HELP YOU TRAVEL LIKE A PRO

OH YOU TRAVEL TRAVEL : 6 TIPS TO HELP YOU TRAVEL LIKE A PRO

My 65 Best Travel Tips To Save Money Travel Like A Pro

My 65 Best Travel Tips To Save Money Travel Like A Pro